EasyManua.ls Logo

Siemens SIMOTION D4x5-2 DP/PN

Siemens SIMOTION D4x5-2 DP/PN
446 pages
To Next Page IconTo Next Page
To Next Page IconTo Next Page
To Previous Page IconTo Previous Page
To Previous Page IconTo Previous Page
Loading...
Section 3:
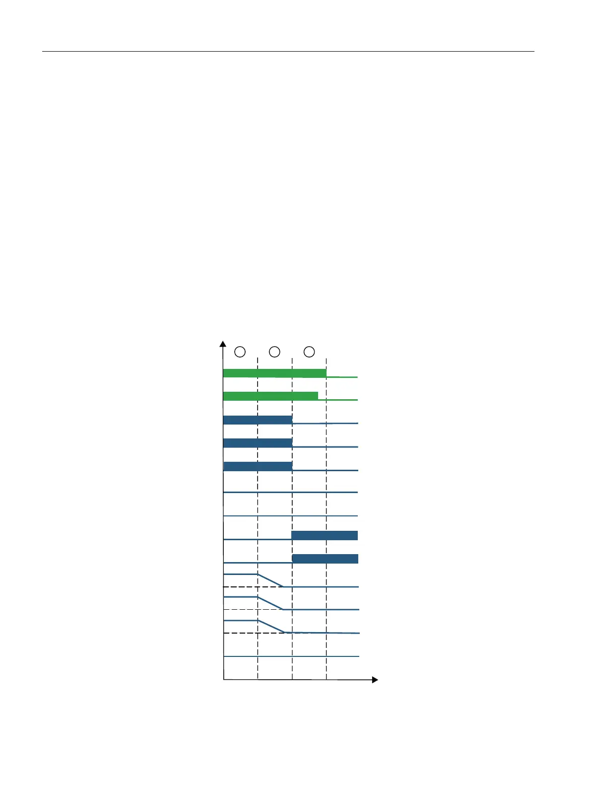
Depending on how the cylinders are controlled as a function of their actual position, the
status bits ZSW1_TLS_PLC bits 8 ... 15 change to "true".
In this example:
"a_in" (ZSW1_TLS_PLC, bit 12)
"b_out" (ZSW1_TLS_PLC, bit 9)
"c_out" (ZSW1_TLS_PLC, bit 10)
After the cylinders have started moving:
The "motion_terminated" status bit (ZSW1_TLS_PLC, bit 3) changes to "false".
The zero status bit (ZSW1_TLS_PLC, bit 2) changes to "false".
The output velocities of cylinders A, B and C are specified by "BSPEED_A_NORM",
"BSPEED_B_NORM" and "BSPEED_C_NORM"
End of "Go to zero positions" (zero position reached)
The cylinders stop moving automatically when they reach their zero position (target position).
PRYHB]HUR
PRYH
DBLQ
EBRXW
,1
FBRXW
GBRXW
,1
287
287
287
287
GBLQ
PRWLRQBWHUPLQDWHG
]HUR
%63(('B$B1250
%63(('B%B1250
%63(('B&B1250
%63(('B'B1250
287
287
287
287
287
287
287
Figure 7-8 Signal sequence for ending travel in "go to zero positions" mode
TLS control function description
7.2 TLS modes and TLS functions
SC integrated STS, GSU
246 Operating Instructions, 07/2019, A5E48271265B AA

Table of Contents