EasyManua.ls Logo

Dräger Cato - Page 134

Dräger Cato
148 pages
Print Icon
To Next Page IconTo Next Page
To Next Page IconTo Next Page
To Previous Page IconTo Previous Page
To Previous Page IconTo Previous Page
Loading...
134
Descriptions
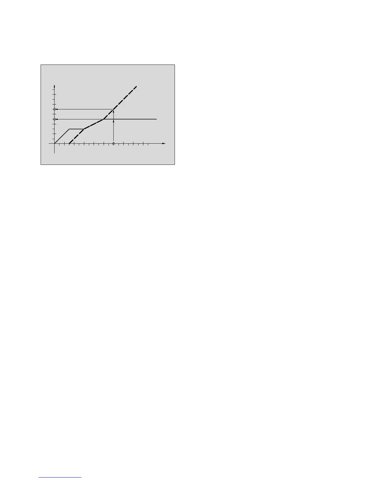
SIMV
Example:
fIMV = 5 per minute
fIPPV =10 per minute
11 1 1
T = ––– ––– = –––––––– ––––––––– = 6 s
fIMV fIPPV 5 per min. 10 per min.
From the diagram we can see that:
TSpont = 3.5 seconds and
TTrigger = 2.5 seconds
During the trigger time, the system checks whether the
airway pressure drops at least 1 mbar below the
pressure measured at the end of the expiration phase.
The mandatorily applied minute volume may increase
if an automatic ventilation stroke is applied at the
beginning of each trigger period!
The duration of a mandatory stroke plus the spontaneous
breathing time is calculated as follows:
1
–––– + TSpont = 6 s + 3.5 s = 9.5 s
fIPPV
This corresponds to a frequency of approx. 6 per
minute and the applied minute volume increases to
6 per minute · VT.
TTrigger
123456789
1
2
3
4
5
TSpont
TSpont [sec]
T [sec]
T
Trigger
Maximum pause time
Example
Trigger and spontaneous breathing times forSIMV mode:
08628971

Table of Contents

Related product manuals