EasyManua.ls Logo

HBM WTX110 - Page 142

HBM WTX110
436 pages
Print Icon
To Next Page IconTo Next Page
To Next Page IconTo Next Page
To Previous Page IconTo Previous Page
To Previous Page IconTo Previous Page
Loading...
Supervisorī˜‚mode
140 A4774-1.0 HBM: public WTX110
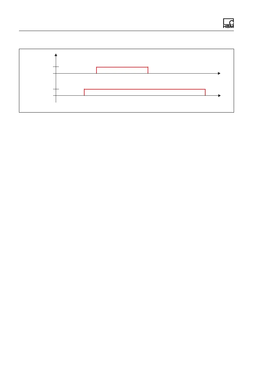
Coarse flow
Fine flow
Coarse flow cut-
off point
Start
Fine flow cut-off
point
Time
Time
Off
Off
On
On
First fine flow phase
before coarse flow
Fig. 10.4 Fill cycle with Coarse/Fine valve control with first fine flow phase activated
(see also section 10.2.26)

Table of Contents