EasyManua.ls Logo

HBM WTX110 - Betriebsart CHECK

HBM WTX110
436 pages
Print Icon
To Next Page IconTo Next Page
To Next Page IconTo Next Page
To Previous Page IconTo Previous Page
To Previous Page IconTo Previous Page
Loading...
Betriebsarten
108 A4774-1.0 HBM: public WTX110
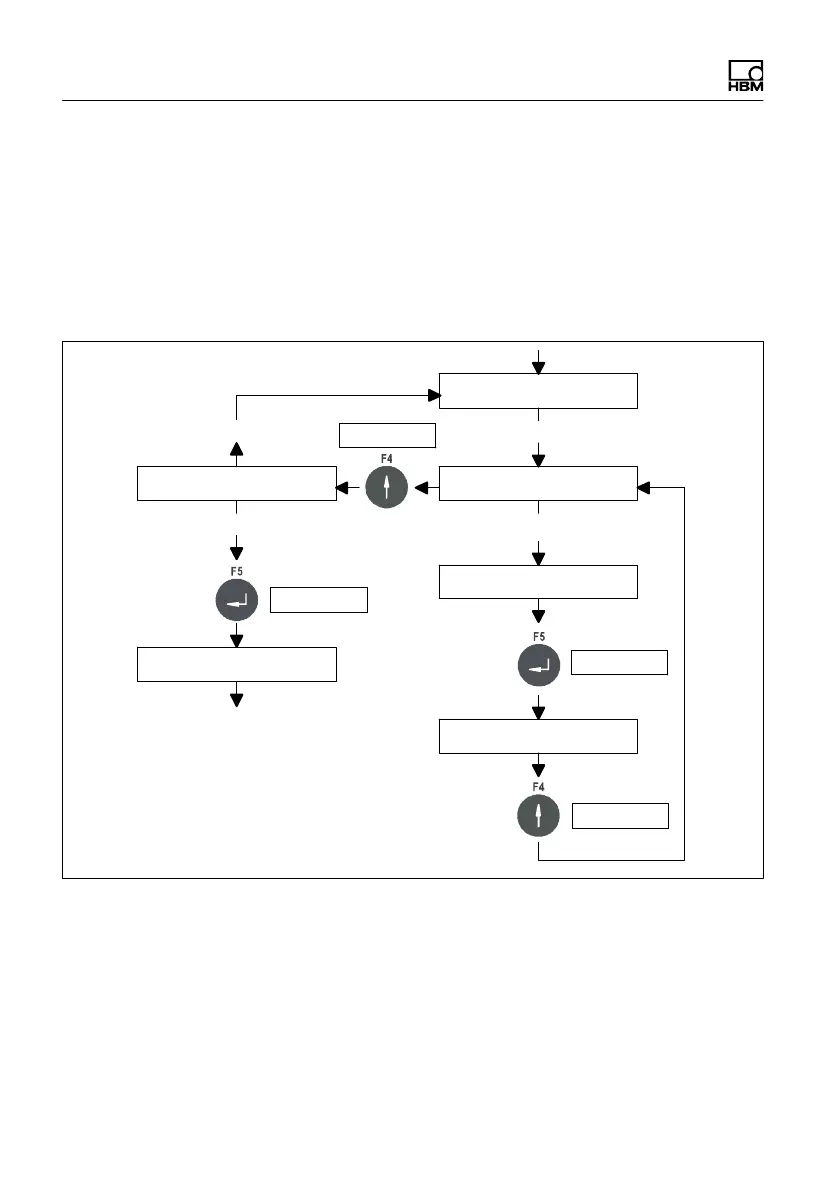
7.5 Betriebsart CHECK
Die Betriebsart CHECK dient als Plus-/Minus-Kontrollwaage, die das Gewicht
eines Prüflings in 3 Zonen (Plus / Gut / Minus) klassifiziert. Die Minus-Grenze
ergibt sich durch Sollwert minus Schaltpunkt S1, die Plus-Grenze durch Soll
wert plus Schaltpunkt S2. Die Schaltpunkte müssen vor dem Start im Super
visor Mode eingegeben werden.
CHECK
Target 0
Target 250
OK
CHECK
Sollwert eingeben
>1s
WTX110 V#.#.#
Return
<3s
>3s
Supervisor Mode
Setup
Schaltpunkte einstellen:
Schaltpunkt 1: Max. negative
Abweichung vom Sollwert
Schaltpunkt 2: Max. positive
Abweichung vom Sollwert
Return
Abb. 7.6 Ablaufdiagramm für Einstellung Sollwert und Schaltpunkte
S Minus-Grenze = Sollwert – Schaltpunkt S1
Plus-Grenze = Sollwert + Schaltpunkt S2

Table of Contents