EasyManua.ls Logo

HBM WTX110 - Operating Mode FILLER

HBM WTX110
436 pages
Print Icon
To Next Page IconTo Next Page
To Next Page IconTo Next Page
To Previous Page IconTo Previous Page
To Previous Page IconTo Previous Page
Loading...
Operating modes
WTX110 A4774-1.0 HBM: public 93
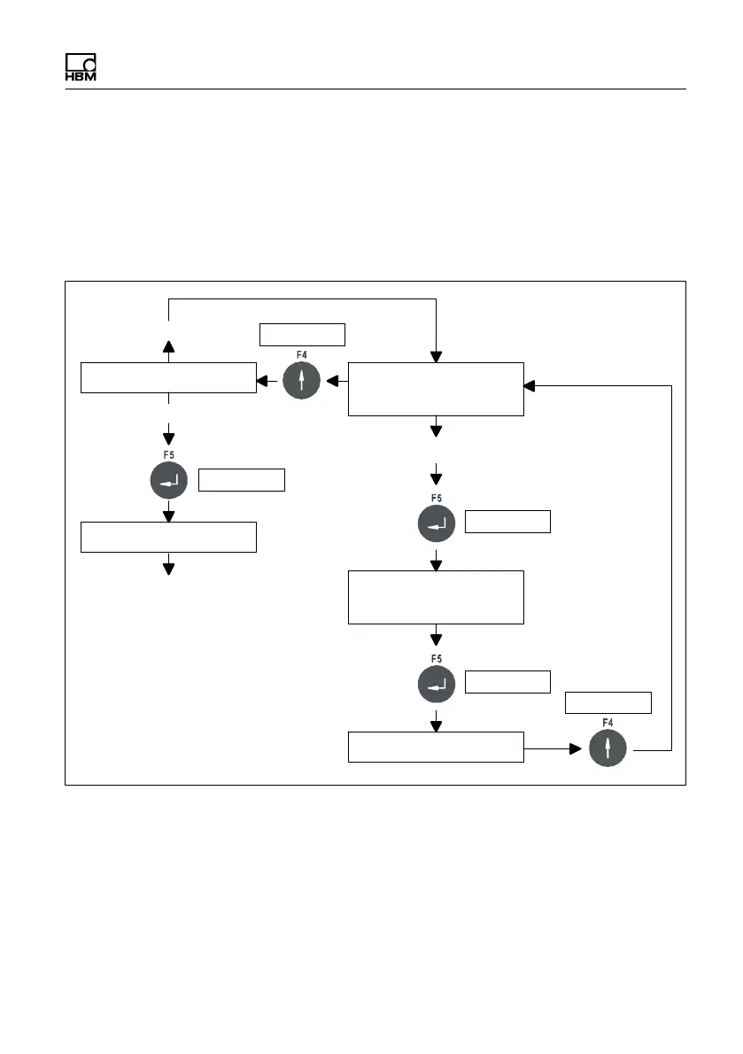
7.2 Operating mode FILLER
The FILLER operating mode provides all the basic functions for implementing
filling and dosing control with coarse/fine flow. All settings such as target
weight and cut-off points for coarse/fine flow can be made in Supervisor Mode
or via PanelX. Up to 32 parameter sets can be created for various products.
Select product
Product-No. 1
OK
Enter project number
WTX110 V#.#.#
Return
<3s
>3s
Supervisorī˜‚ mode
Setup
Make settings for the products
(target weight, coarse flow,
fine flow, etc.)
See section 10.2
Select product
1 Name
OK
Ready to start
Return
Fig. 7.2 Configure FILLER and select product

Table of Contents