EasyManua.ls Logo

Olivetti PR2 E - TOP OF FORM (TOF) CALIBRATION

Olivetti PR2 E
149 pages
Print Icon
To Next Page IconTo Next Page
To Next Page IconTo Next Page
To Previous Page IconTo Previous Page
To Previous Page IconTo Previous Page
Loading...
Y100250-44-22
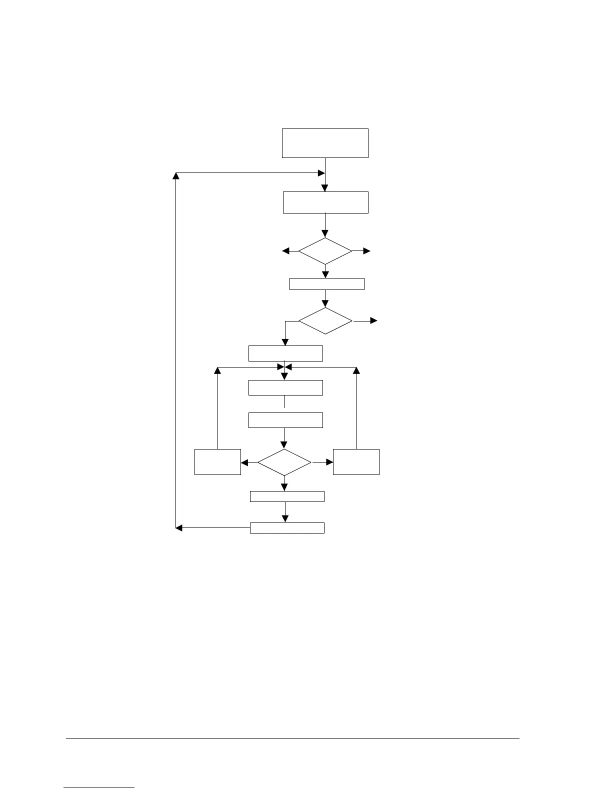
4.4.3 TOP OF FORM (TOF) CALIBRATION
Provided below is the Top Of Form (TOF) calibration block diagram.
COVER OPEN
ST1, LOCAL, ST2 BUTTONS
PRESSED WHILE POWERING
ON THE PRINTER
AUDIBLE SIGNAL,
LEDS ON
BUTTON
ST 1 ST 2
LOCAL
LEDS ST1 AND ST2 ON
BUTTON
ST 1
ST 2
LEDS ST1, LOCAL, ST2 ON,
READY OFF
TOP OF FORM PRINTED
AND SHEET EXPELLED
TOP OF FORM OK
PARAMETERS STORED
BUTTON
ST 1
ST 2
LOCAL
MOVES THE
TOF
DOWNWARD
MOVES THE
TOF UPWARD
INSERT AN A4 SHEET OF
PAPER

Table of Contents

Related product manuals