EasyManua.ls Logo

Olivetti PR2 E - PRINT ALIGNMENT CALIBRATION

Olivetti PR2 E
149 pages
Print Icon
To Next Page IconTo Next Page
To Next Page IconTo Next Page
To Previous Page IconTo Previous Page
To Previous Page IconTo Previous Page
Loading...
Y100250-44-20
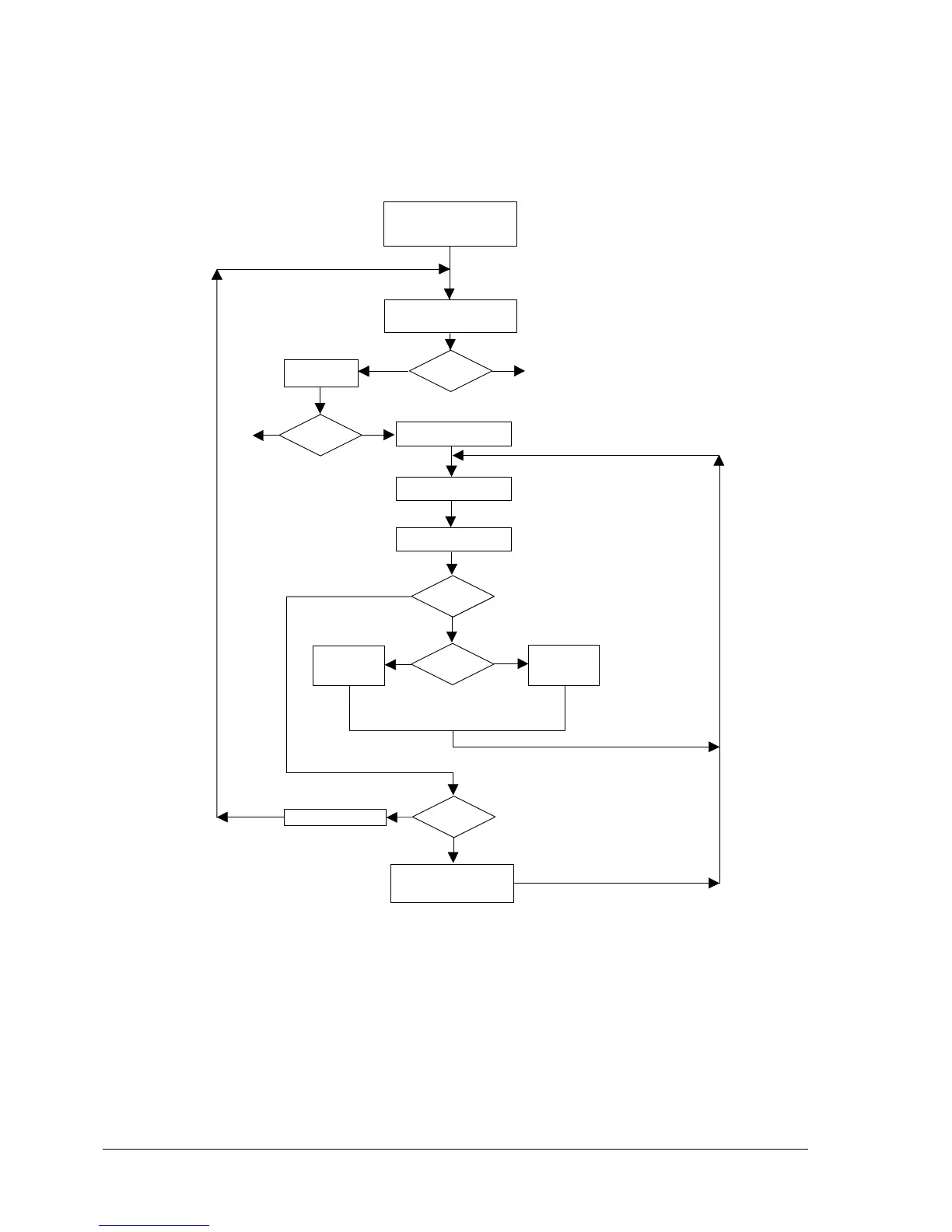
4.4.2 BI-DIRECTIONAL PRINT ALIGNMENT CALIBRATION
Provided below is the bi-directional print alignment calibration block diagram.
COVER OPEN
ST1, LOCAL, ST2 PRESSED
WHILE POWERING ON THE
PRINTER
AUDIBLE SIGNAL AND
LEDS ON
BUTTON
ST 2
LEDS ST1 AND
ST2 ON
BUTTON
ST 1
ST 1
ALL LEDS ON
INSERT AN A4 SHEET
OF PAPER
TWO LINES PRINTED AND
SHEET EXPELLED
YES
BUTTON
ST 1
ST 2
MOVES THE
LEFT MARGIN
TO THE LEFT
MOVES THE
LEFT MARGIN
TO THE RIGHT
NO
YES
NO
ST 2
CALIBRATION
ENDS
PARAMETERS STORED
MOVES TO THE PRINT
MODE AND TO THE NEXT
SPACING
ALIGNMENT
OK
Note: The printer switches between modes and spacings automatically.

Table of Contents

Related product manuals