EasyManua.ls Logo

Campbell CR850 - Component-Built Relays; Figure 100: Control Port Current Sourcing; Relays and Relay Drivers

Campbell CR850
566 pages
To Next Page IconTo Next Page
To Next Page IconTo Next Page
To Previous Page IconTo Previous Page
To Previous Page IconTo Previous Page
Loading...
Section 8. Operation
313
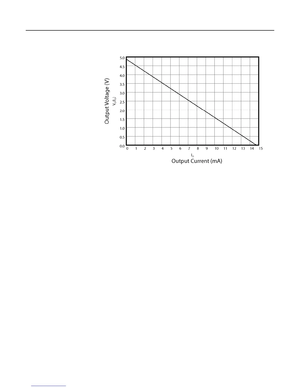
Figure 100: Control port current sourcing
8.2.4.2 Relays and Relay Drivers
Several relay drivers are manufactured by Campbell Scientific. For more
information, see the appendix Relay Drivers
(p. 541), contact a Campbell Scientific
applications engineer, or go to www.campbellsci.com.
Compatible, inexpensive, and reliable single-channel relay drivers for a wide
range of loads are available from various electronic vendors such as Crydom,
Newark, Mouser, etc.
8.2.4.3 Component-Built Relays
Figure Relay Driver Circuit with Relay (p. 314) shows a typical relay driver circuit
in conjunction with a coil driven relay which may be used to switch external
power to some device. In this example, when the control port is set high, 12 Vdc
from the datalogger passes through the relay coil, closing the relay which
completes the power circuit and turns on the fan.
In other applications it may be desirable to simply switch power to a device
without going through a relay. Figure Power Switching without Relay
(p. 314)
illustrates a circuit for switching external power to a device without using a relay.
If the peripheral to be powered draws in excess of 75 mA at room temperature
(limit of the 2N2907A medium power transistor), the use of a relay is required.

Table of Contents

Related product manuals