EasyManua.ls Logo

Amada ML-2050A-CE - Environment Suitable for Installation and Precautions

Amada ML-2050A-CE
195 pages
Print Icon
To Next Page IconTo Next Page
To Next Page IconTo Next Page
To Previous Page IconTo Previous Page
To Previous Page IconTo Previous Page
Loading...
1. Installation Place
37
ML-2050A/2051A/2150A
Chapter 1 Installation
Introduction Part
Installation and
Preparation Part
Operating Part Maintenance Part Appendixes
Environment Suitable for Installation and Precautions
In laser processing, dust and fumes are generated from workpiece. Depending
on the kind of workpiece, they may adversely affect a human body. Also, dust
and fumes from workpiece may cause staining and burning of optical parts
and lower the laser output. Furthermore, if conductive dust enters the laser
equipment, a short circuit accident may occur to cause malfunction. Therefore, in
laser processing, be sure to install an exhaust device such as dust collector and
blower in a proper position to keep a clean environment.
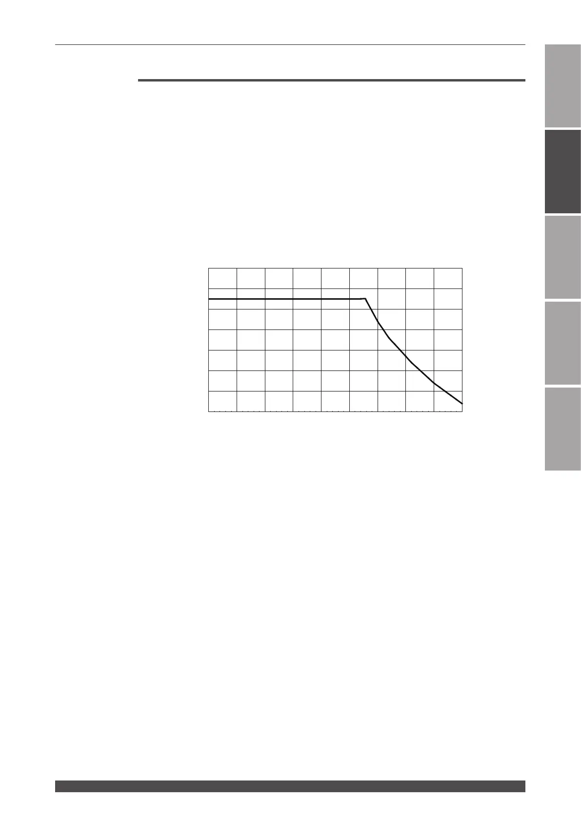
Use the product in a place where the ambient temperature is 5 to 30ºC and the
ambient humidity is 85%RH or less and yet a sudden temperature change does
not occur. If the humidity is higher than values shown below, condensation may
occur.
Avoid operating the product in the following places because a failure may occur.
Place where there is considerable dirt, dust, or oil mist,
where the Laser may be subjected to vibration or impact,
where the Laser may be exposed to chemicals,
where there is a nearby high noise source,
where moisture may be condensed on the surface of the Laser,
where the concentration of CO
2
, NOx or SOx is high. (Air containing more
than 0.1% CO
2
may shorten the life of the ion-exchange resin.)
If the temperature falls below 0°C in winter, the cooling water will be frozen
and the Laser may be broken. Particularly in cold districts, take care that the
temperature of the Laser does not fall below 0°C. When the product is not
operated for one month or longer or the temperature is 0ºC or less, bleed the
equipment of cooling water completely. For bleeding, refer to the Maintenance
Part, Chapter 1 "2. Maintenance of the Cooler Unit Section" on page 149 and
page 154.
When a sudden temperature change occurs, for example, at a start of heating,
condensation will be caused to the end face of the YAG rod and the surface of
the mirror, thereby sticking dust there. Avoid such a sudden temperature change
if possible. When there is a possibility of condensation, turn ON the power
supply of the laser. In about 2 hours, start to operate the laser.
30
40
50
60
70
80
90
100
5 10 15 20 25 30 35 40 45 50
Upper limit of ambient humidity
Ambient temperature (ºC)
Humidity (%)

Table of Contents

Related product manuals