EasyManua.ls Logo

ECKELMANN VS 300 - Page 39

ECKELMANN VS 300
172 pages
Print Icon
To Next Page IconTo Next Page
To Next Page IconTo Next Page
To Previous Page IconTo Previous Page
To Previous Page IconTo Previous Page
Loading...
Function of VS 300
31
Doku-Version 2.05 - Firmware 2.10 - 15. September 2017
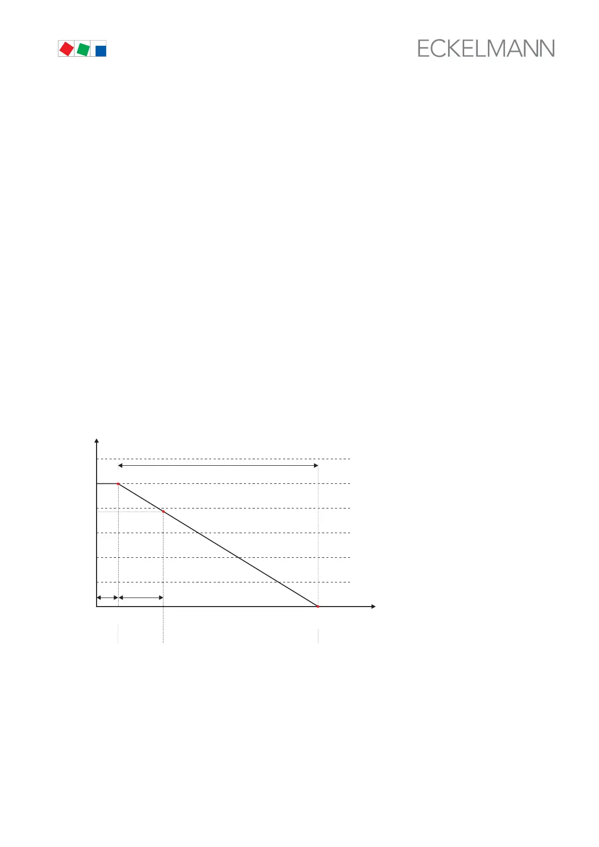
Basic time and maximum variable time for loading and unloading are programmable parameters. The following
relationships apply to determining actuating times:
t = t
b
+ t
v
= Actuating time
t
b
= Basic time: Can be programmed for every loading of a compressor capacity stage.
t
v
= Variable actuating time
The following applies for t
v
:
t
v
t
v_max
(t
v_max
d
t
)
d
t_max
d
t
> d
t_max
is equivalent to d
t
= d
t_max
t
v
= Variable actuating time
t
v_max
= Maximum variable actuating time (definable)
d
t
= Control error
d
t_max
= Maximum control error/constant (definable)
Load delay is actuated on loading a compressor capacity stage or when rising suction pressure reaches a value
greater than the lower limit of the neutral zone.
Unload delay is actuated on unloading a compressor capacity stage or when falling suction pressure reaches a
value less than the upper limit of the neutral zone.
Actuating time is calculated at every controller cycle. The variable time is recalculated and the time elapsed
since the last actuation is compared with the calculated time. If the calculated actuating time is less than or
equal to the elapsed time, compressor actuation takes place provided the controlled variable p
0
is outside the
neutral zone. The following diagram illustrates calculation of actuating time:
ZNR. 51203
64 230 E1
Contro
l error dt
C]
Run time [s]
Compressor run times
0
2
4
6
dt
8
10
dt max
12
0
20
40
60
80
100
120
140
120
160
180
200
220
240
t
v max
Basic time t
b
Run time t = t+t
vb
t+t
vmaxb
t
b
t
v

Table of Contents

Related product manuals