EasyManua.ls Logo

ECKELMANN VS 300 - 5.3 Initial System Startup and Configuration

ECKELMANN VS 300
172 pages
Print Icon
To Next Page IconTo Next Page
To Next Page IconTo Next Page
To Previous Page IconTo Previous Page
To Previous Page IconTo Previous Page
Loading...
Function of VS 300
55
Doku-Version 2.05 - Firmware 2.10 - 15. September 2017
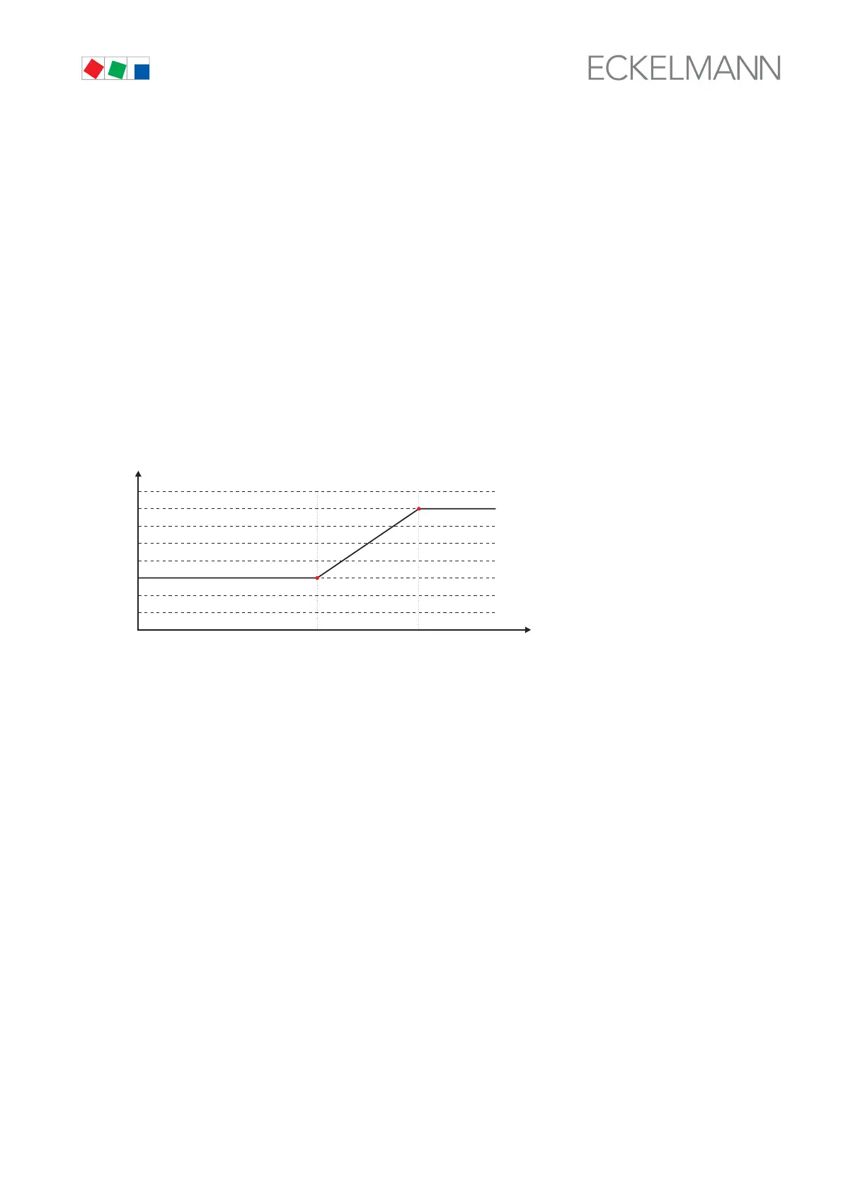
The CAN Bus address of this controller (VS 3010, VS 3010 BS or FS 3010) is then entered in the VS 300 using
an appropriate parameter ('Node Number Ambient Data' see chapter 7 - Parameter List and Menu Structure -
Setpoints System Configuration).
The evaluation of the tc setpoint can then be carried out relative to the outside temperature according to a pro
grammable characteristic curve.
t
c
= t
c
setpoint
t
c_max
= maximum tc setpoint
t
c_min
= minimum tc setpoint
t
a
= current outside temperature
t
a_max
= max. outside temperature for setpoint adjustment
t
a_min
= min. outside temperature for setpoint adjustment
With an outside temperature of t
a
> t
a_max
or t
a
< t
a_min
the following applies:
for t
a
> t
a_max
:t
c
= t
c_max
for t
a
< t
a_min
:t
c
= t
c_min
ZNR. 51203
65 230 D0
Kondensations
-
temperatur
C]
Aussentemperatur C]
VS 300 HD-Sollwertermittlung
0
10
20
30
-5 0 5 10152025
t
c
40
30 35 40
-10
t
cmax
t
cmin
t
amax
t
amin
t
c_min
, t
a_min
, t
c_max
, t
a_max
can be parameterised.
The pressure setpoint for actual control is determined from a conversion table contained in the software.
Conversion of t
0
to the corresponding pressure can be made for the following refrigerants:
R22, R502, R134a, R404A, R402A, R717, R1270, R507, R407C, R410A, R290, R744 (transcritical operation
not available), R407F, R422A, R422D, R408A, R407D, R407A, R427A, R438A, R512a, R170, R600, R600a,
R449A, R450A, R448A, R455A, R447B, R1234ze, R1233zd, R41234yf

Table of Contents

Related product manuals