EasyManua.ls Logo

Hologic thinprep 2000 - Page 170

Hologic thinprep 2000
284 pages
Print Icon
To Next Page IconTo Next Page
To Next Page IconTo Next Page
To Previous Page IconTo Previous Page
To Previous Page IconTo Previous Page
Loading...
INSTRUMENT TROUBLESHOOTING
ThinPrep 2000 Processor Operator’s Manual
6.31
6
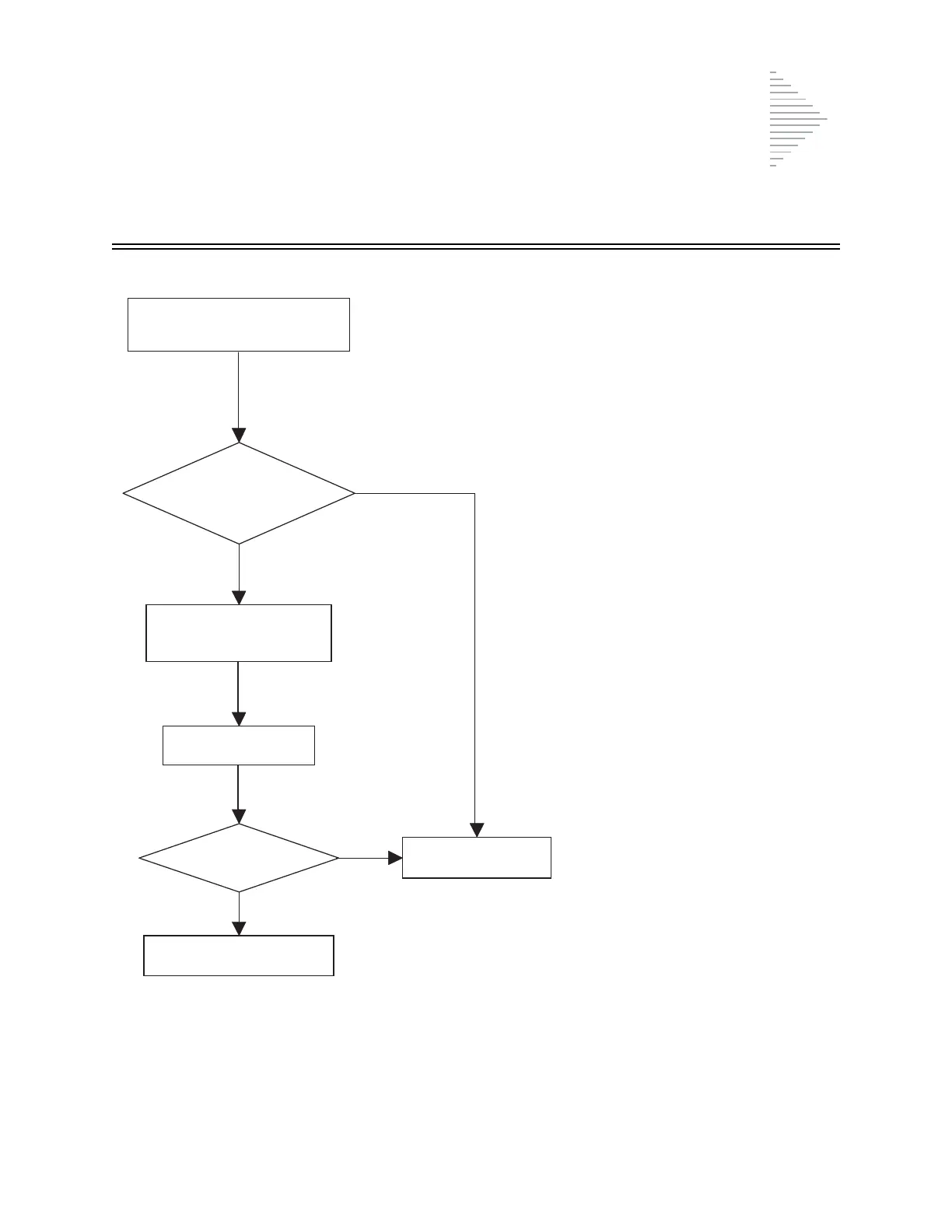
Vial Too Full. 21 mL Max. Allowed
YES
Press the ENTER key to clear the
message and stop the audible alert.
Is the volume of
the sample vial greater than
21 ml?
NO
Reduce sample vial volume
to be between 17 and 21 ml.
Continue processing.
Does message persist?
YES
Call Technical Service.
NO
No further action required.

Table of Contents

Other manuals for Hologic thinprep 2000

Related product manuals