EasyManua.ls Logo

Mazda 626 - Front Driver-Side Window Does Not Go up and down in Automatic Mode

Mazda 626
577 pages
Print Icon
To Next Page IconTo Next Page
To Next Page IconTo Next Page
To Previous Page IconTo Previous Page
To Previous Page IconTo Previous Page
Loading...
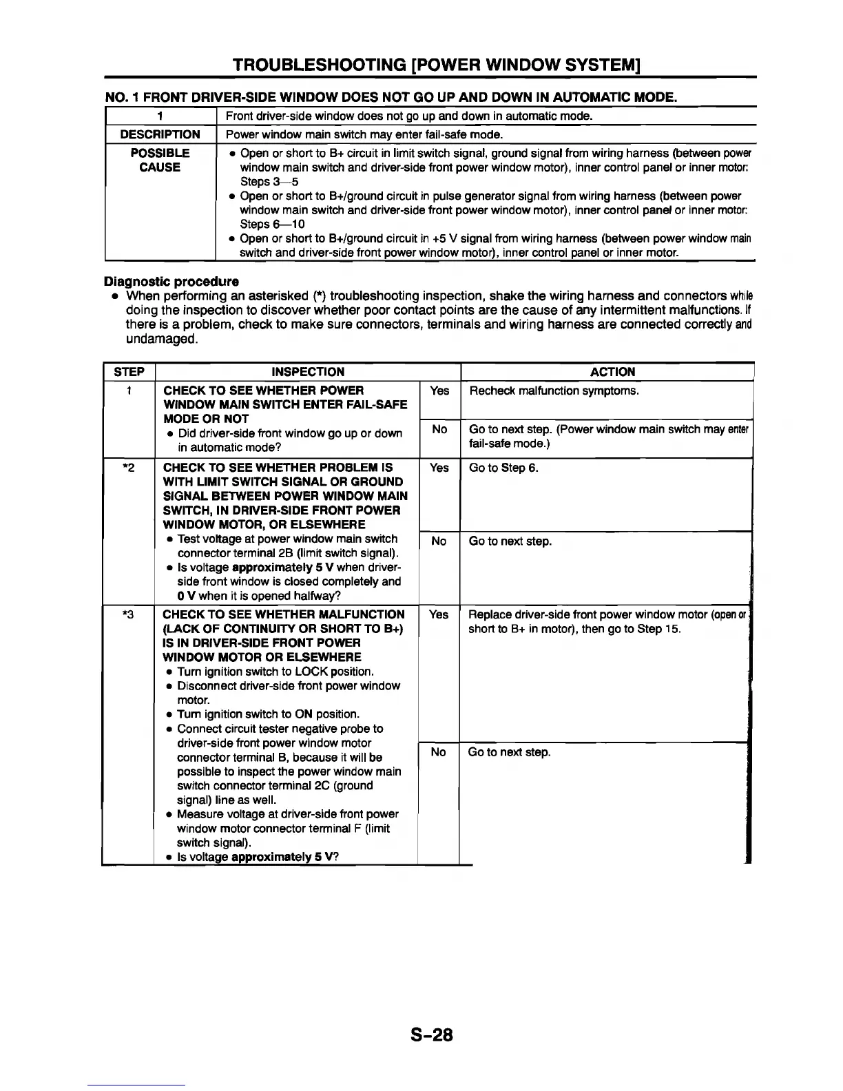
TROUBLESHOOTING [POWER WINDOW SYSTEM]
NO. 1 FRONT DRIVER-SIDE WINDOW DOES NOT GO UP AND DOWN IN AUTOMATIC MODE.
1 Front driver-side window does not go up and down in automatic mode.
DESCRIPTION Power window main switch may enter fail-safe mode.
POSSIBLE
CAUSE
Open or short to B+ circuit in limit switch signal, ground signal from wiring harness (between power
window main switch and driver-side front power window motor), inner control panel or inner motor:
Steps 35
Open or short to B+/ground circuit in pulse generator signal from wiring harness (between power
window main switch and driver-side front power window motor), inner control panel or inner motor:
Steps 610
Open or short to B+/ground circuit in +5 V signal from wiring harness (between power window main
switch and driver-side front power window motor), inner control panel or inner motor.
Diagnostic procedure
When performing an asterisked (*) troubleshooting inspection, shake the wiring harness and connectors while
doing the inspection to discover whether poor contact points are the cause of any intermittent malfunctions. If
there is a problem, check to make sure connectors, terminals and wiring harness are connected correctly and
undamaged.
STEP INSPECTION ACTION
1 CHECK TO SEE WHETHER POWER
WINDOW MAIN SWITCH ENTER FAIL-SAFE
MODE OR NOT
Did driver-side front window go up or down
in automatic mode?
Yes
Recheck malfunction symptoms.
No
Go to next step. (Power window main switch may enter
fail-safe mode.)
*2 CHECK TO SEE WHETHER PROBLEM IS
WITH LIMIT SWITCH SIGNAL OR GROUND
SIGNAL BETWEEN POWER WINDOW MAIN
SWITCH, IN DRIVER-SIDE FRONT POWER
WINDOW MOTOR, OR ELSEWHERE
Test voltage at power window main switch
connector terminal 2B (limit switch signal).
Is voltage approximately 5 V when driver-
side front window is closed completely and
0 V when it is opened halfway?
Yes Go to Step 6.
No
Go to next step.
*3 CHECK TO SEE WHETHER MALFUNCTION
(LACK OF CONTINUITY OR SHORT TO B+)
IS IN DRIVER-SIDE FRONT POWER
WINDOW MOTOR OR ELSEWHERE
Turn ignition switch to LOCK position.
Disconnect driver-side front power window
motor.
Turn ignition switch to ON position.
Connect circuit tester negative probe to
driver-side front power window motor
connector terminal B, because it will be
possible to inspect the power window main
switch connector terminal 2C (ground
signal) line as well.
Measure voltage at driver-side front power
window motor connector terminal F (limit
switch signal).
Is voltage approximately 5 V?
Yes
Replace driver-side front power window motor (open or
short to B+ in motor), then go to Step 15.
No Go to next step.
S-28

Table of Contents

Other manuals for Mazda 626

Related product manuals