EasyManua.ls Logo

Mazda 626 - Troubleshooting Procedure Chart

Mazda 626
577 pages
Print Icon
To Next Page IconTo Next Page
To Next Page IconTo Next Page
To Previous Page IconTo Previous Page
To Previous Page IconTo Previous Page
Loading...
HOW TO USE THIS MANUAL
HOW TO USE THIS MANUAL
RANGE OF TOPICS
This manual indicates only changes/additions, as it is the supplemental for the related materials. Therefore it
may not contain the necessary referential service procedures to operate
the services indicated in this manual. Only
the referential section, e.g. (See Section B), is indicated, so refer to the appropriate section of
the related materials for details.
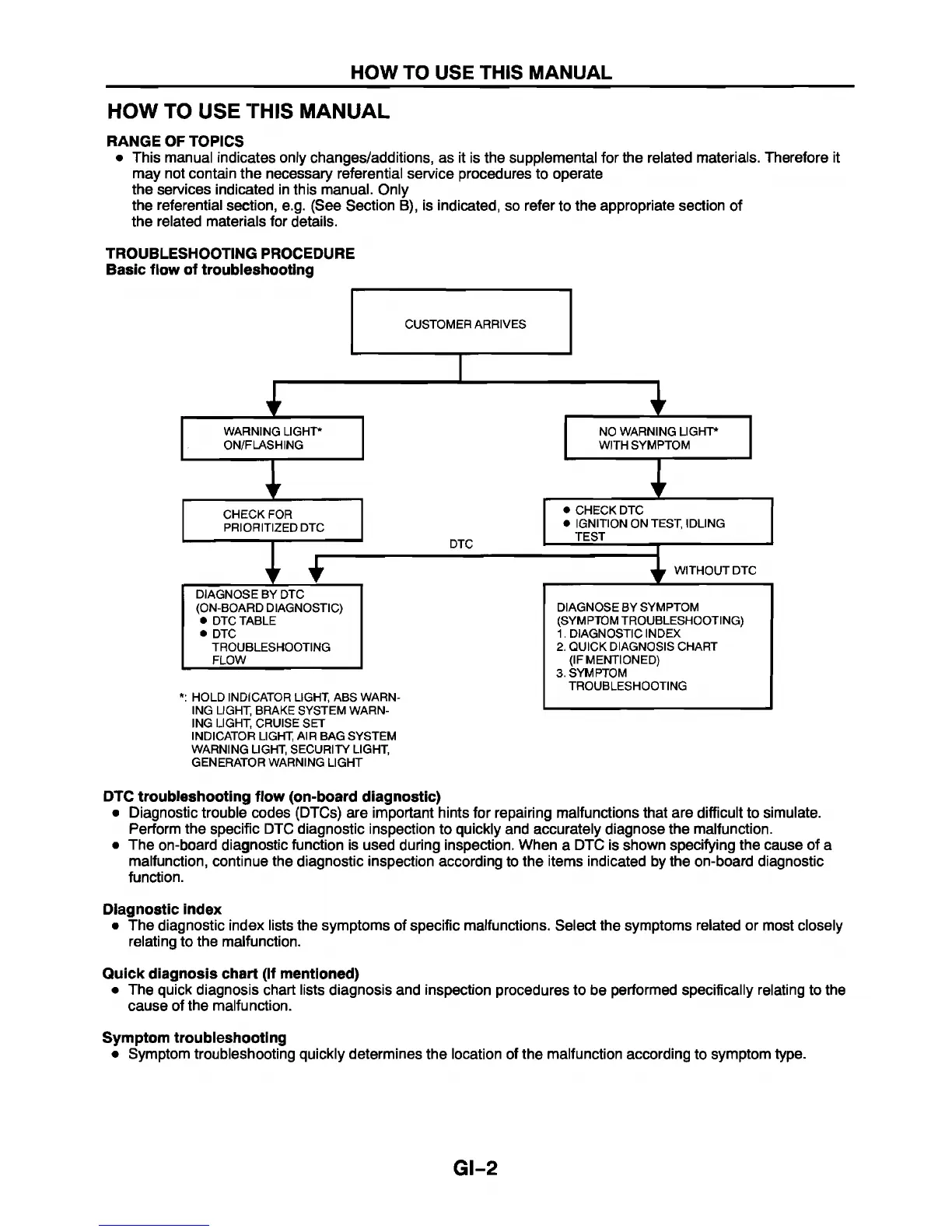
TROUBLESHOOTING PROCEDURE
Basic flow of troubleshooting
ING LIGHT, CRUISE SET
INDICATOR LIGHT, AIR BAG SYSTEM
WARNING LIGHT, SECURITY LIGHT,
GENERATOR WARNING LIGHT
DTC troubleshooting flow (on-board diagnostic)
Diagnostic trouble codes (DTCs) are important hints for repairing malfunctions that are difficult to simulate.
Perform the specific DTC diagnostic inspection to quickly and accurately diagnose the malfunction.
The on-board diagnostic function is used during inspection. When a DTC is shown specifying the cause of a
malfunction, continue the diagnostic inspection according to the items indicated by the on-board diagnostic
function.
Diagnostic index
The diagnostic index lists the symptoms of specific malfunctions. Select the symptoms related or most closely
relating to the malfunction.
Quick diagnosis chart (If mentioned)
The quick diagnosis chart lists diagnosis and inspection procedures to be performed specifically relating to the
cause of the malfunction.
Symptom troubleshooting
Symptom troubleshooting quickly determines the location of the malfunction according to symptom type.
GI-2

Table of Contents

Other manuals for Mazda 626

Related product manuals