EasyManua.ls Logo

SICK FLOWSIC200 - Computations; Flow Velocity Calibration; Temperature Calibration; Response Time

SICK FLOWSIC200
122 pages
Print Icon
To Next Page IconTo Next Page
To Next Page IconTo Next Page
To Previous Page IconTo Previous Page
To Previous Page IconTo Previous Page
Loading...
Product description
FLOWSIC200 · Operating Instructions · 8013271/1CJ9/V2-0/2022-01 · © SICK Engineering GmbH 27
2.3
Computations
2.3.1 Flow velocity calibration
When the measured velocity does not agree with the mean value of the flow velocity in the
entire tunnel cross-section, the FLOWSIC200 can be calibrated by a network measurement
with a comparison measuring system. Regression coefficients Cv2, Cv1 and Cv0 are
determined from the measured values of the two measuring systems, which are entered
into the FLOWSIC200 during parameterization (

p. 92, §4.3.3). The device then calculates
the calibrated flow velocity v from measured value x of the FLOWSIC200 according to the
following formula:
v = Cv2 · x² + Cv1 · x + Cv0
If no calibration is required, Cv2, Cv0 = 0, Cv1 = 1 (default factory setting). The value x then
corresponds to the representative velocity.
2.3.2 Temperature calibration
The calibration of the temperature measurement with the FLOWSIC200 can be done by a
comparison measurement with a separate temperature sensor (e.g. Pt100), but is
generally not necessary, since the active measuring distance can be determined extremely
accurately (± 1 cm) (see formula 2.6,

p. 16, §2.1.3 ).
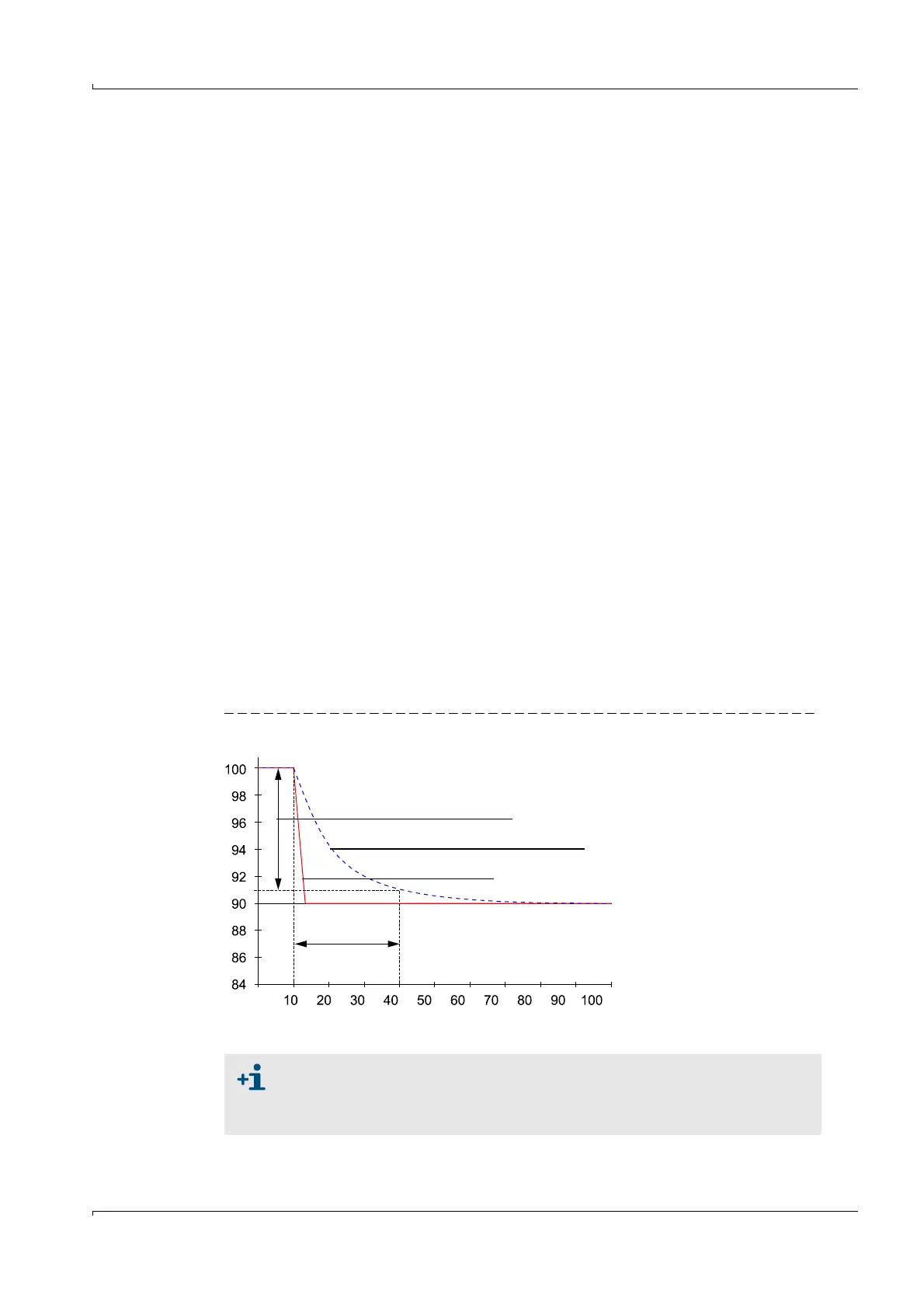
2.3.3 Response time
The response time is the time taken by the measuring device to reach 90% of the end value
after a sudden change in the measured value (
Fig. 11).
The response time can be set to any value in the range 1...300 (typical: 60 ... 90 s). Setting
a higher response time provides better attenuation of transient fluctuations in the
measured value and interference to produce a “smoother” output signal.
There is a separate response time for the measurement of flow velocity and air temperature
respectively.
Fig. 11 Response time
Measured value
90% of the peak
Measured value with response time
Process change
t in s
Response time
The response time should be regarded as a guide value. If the signal quality of
the ultrasonic pulses is poor, the FLOWSIC200 requires more measured values
for an output signal of the same accuracy. As a result, the response time is
higher, within certain limits, than the set time.

Table of Contents

Related product manuals