EasyManua.ls Logo

Freescale Semiconductor MPC5604B - Developing a General Purpose I²C Driver

Default Icon
150 pages
Print Icon
To Next Page IconTo Next Page
To Next Page IconTo Next Page
To Previous Page IconTo Previous Page
To Previous Page IconTo Previous Page
Loading...
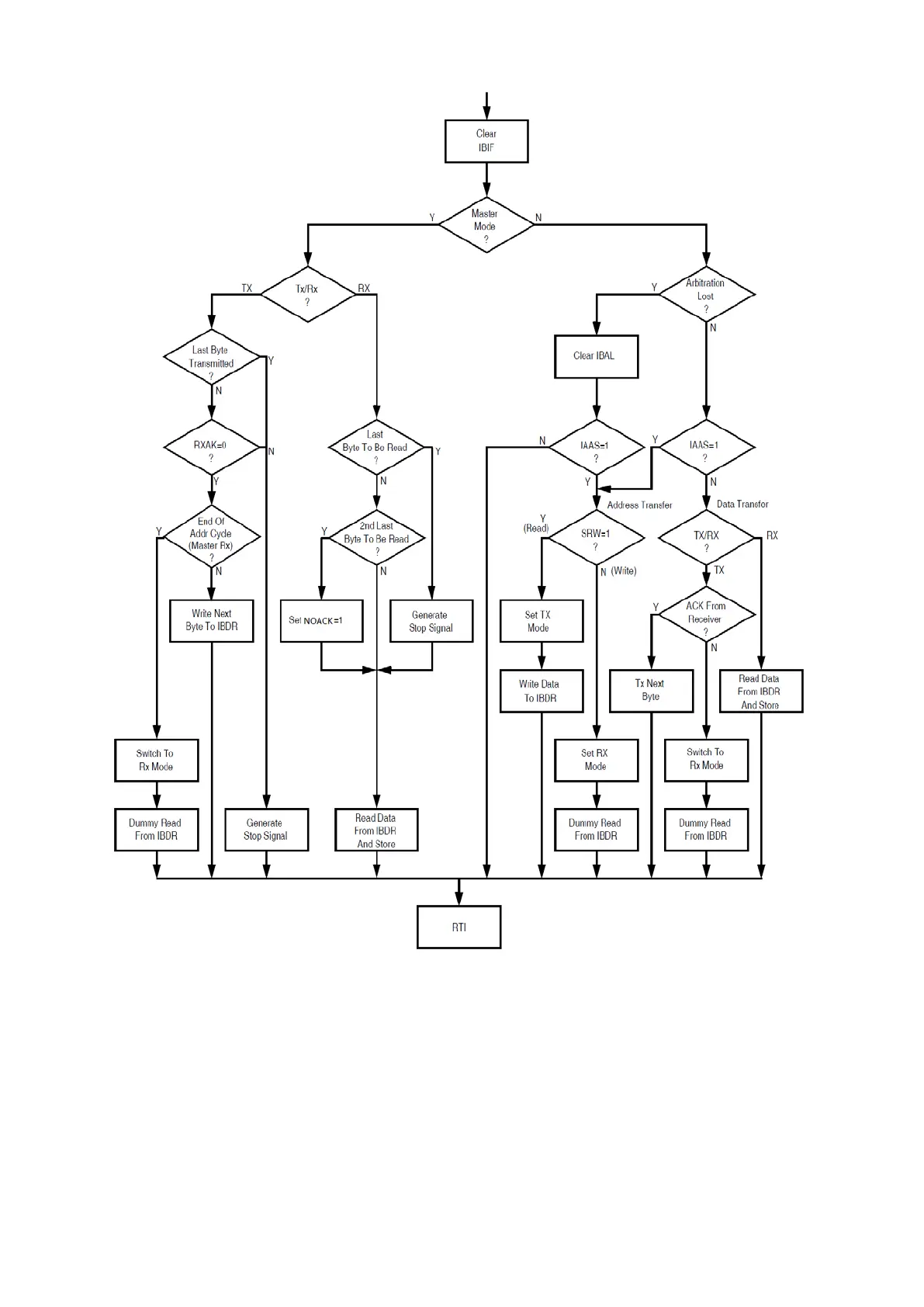
Figure 110 : Flow-chart of a typical I²C interrupt handler (R.M. Rev8 Fig. 20-13)
2.4.
Developing a general purpose I²C Driver
A driver can be built for this module, similar to the one for DSPI or UART, building methods
around the previous interrupt routine.

Table of Contents

Other manuals for Freescale Semiconductor MPC5604B

Related product manuals