EasyManua.ls Logo

Festo CPX - Reading out the Diagnostic Data Flow Diagram

Festo CPX
234 pages
Print Icon
To Next Page IconTo Next Page
To Next Page IconTo Next Page
To Previous Page IconTo Previous Page
To Previous Page IconTo Previous Page
Loading...
5. Diagnostics and error handling
5−16
Festo P.BE−CPX−SYS−EN en 0902e
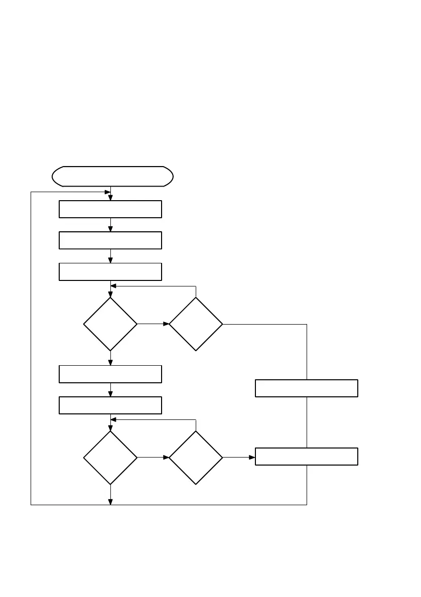
Reading out the diagnostic data flow diagram
The function number is accepted if there is a positive edge at
control bit A15. The input bits E0 ... E7 supply the diagnostic
data when the quitting bit supplies a 1−signal.
No
Quitting
bit =1?
Yes
Starting the read process
Set the function number
Set control bit (A15)
Accept data
No
Yes
Reset control bit A15
Quitting
bit =0?
Start timeout
Timer
expired?
Reset control bit
Timer
expired?
No
Yes
Timeout
Yes
No
Fig.5/6: Reading out the diagnostic data flow diagram

Table of Contents

Other manuals for Festo CPX

Related product manuals