EasyManua.ls Logo

Microplex SOLID F90 HD - Spare Parts

Microplex SOLID F90 HD
157 pages
Print Icon
To Next Page IconTo Next Page
To Next Page IconTo Next Page
To Previous Page IconTo Previous Page
To Previous Page IconTo Previous Page
Loading...
Specifications 151
_______________________________________________________________________________________________
________________________________________________________________________________________________
MICROPLEX Operator’s Manual SOLID F90 HD Edition 1.0
3. Spare parts Spare parts are exchanged by the service engineer, when they fail.
Examples for spare parts are:
- couplings
- electronic assemblies
- rollers
Depending on the application some parts may change categories under certain circumstances. If for
example very rough paper is used, the rollers can become an (application specific) wearing part.
It’s a fact, that the right time to exchange a component depends not only on the failure of a component
but also on a possible loss of print quality in the printouts.
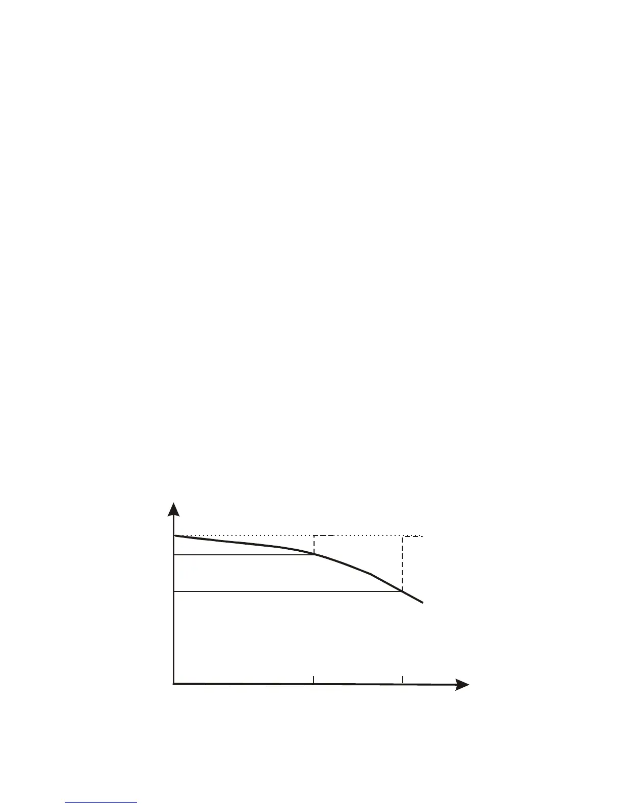
MNPSQ = Mean Number of Prints with Specified Quality (SQ).
This value is often associated with "Lifetime". This term is not correct. MNPSQ describes the period of
time in which a defined print quality is maintained.
The print quality is determined by the values for
- print density
- background darkness
- homogeneity
The value
IQ (Initial Quality) is used to designate the print quality that is reached with a new printer.
CAQ (Customer Acceptable Quality) is a purely subjective lower limit which a respective customer is
willing to accept the print quality. An exchange of parts is only then necessary even if the MNPSQ is
already exceeded.
IQ
SQ
CAQ
p
a
g
es
quality
MNPSQ MNPCAQ
Utilization time
exchange exchange

Table of Contents

Related product manuals