EasyManua.ls Logo

Olivetti PR2 - Page 83

Olivetti PR2
179 pages
Print Icon
To Next Page IconTo Next Page
To Next Page IconTo Next Page
To Previous Page IconTo Previous Page
To Previous Page IconTo Previous Page
Loading...
Service Manual
683311W
4-31
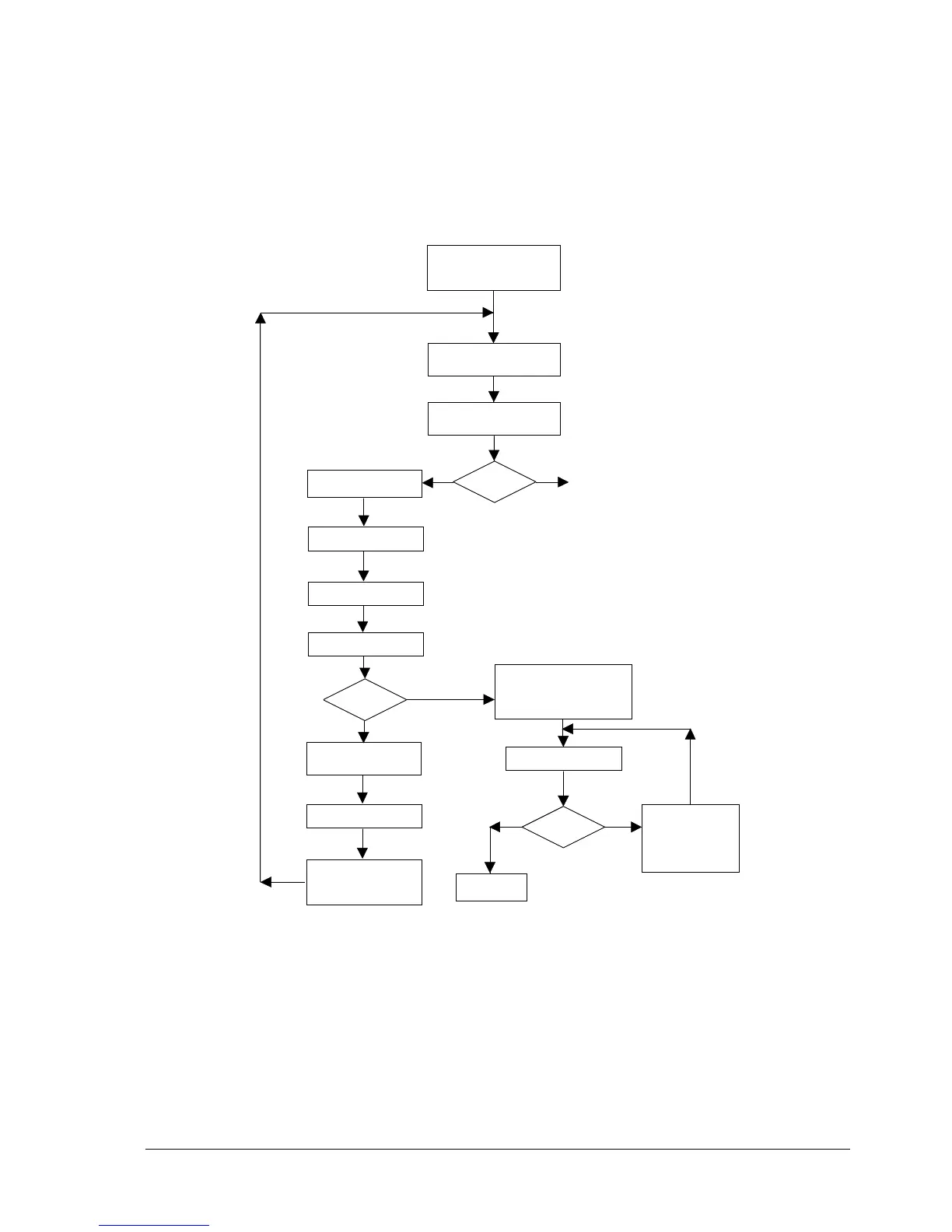
COVER OPEN
ST1,LOCAL, ST2 KEYS
PRESSED WHILE POWERING
ON THE PRINTER
ACOUSTIC SIGNAL AND LEDS
ON
KEY
ST 2
ST 1
MOVE THE PRINT HEAD TO
THE LEFT AND CLOSE THE
COVER
READING OF SENSOR
VALUES WITH PAPER
ST2 LED ON
INSERT A WHITE A4
SHEET OF PAPER
READING OF SENSOR
VALUES WITHOUT PAPER
THE SHEET IS NOT EJECTED, A
LONG BEEP IS SOUNDED. THE
FLASHING LEDS IDENTIFY THE
FAULTY SENSOR (SEE TABLE
ON PREVIOUS PAGE)
YES
NO
LONG BEEP, THE
FLASHING LEDS
IDENTIFY THE
FAULTY SENSOR
(SEE TABLE ON
PREVIOUS PAGE
POWER OFF
THE PRINTER
NO
YES
READ
OK?
THE SHEET IS EJECTED
AND ALL THE LEDS ARE
OFF
INSERT A WHITE A4
SHEET OF PAPER
PRESS ANY KEY
OTHER
SENSORS
KO?
THE ADJUSTMENT
VALUES ARE PRINTED
AND STORED IN EPROM

Table of Contents

Related product manuals