EasyManua.ls Logo

Spectra-Physics Tsunami - Nonlinear Effects

Spectra-Physics Tsunami
238 pages
Print Icon
To Next Page IconTo Next Page
To Next Page IconTo Next Page
To Previous Page IconTo Previous Page
To Previous Page IconTo Previous Page
Loading...
Tsunami Mode-Locked Ti:sapphire Laser
A-6
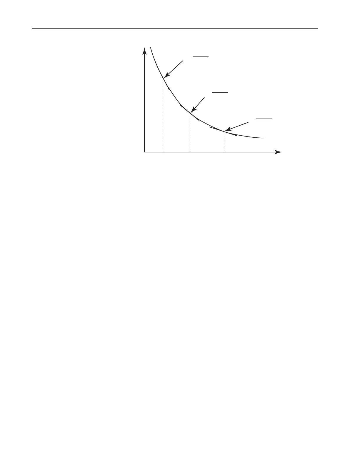
Figure A-5: Typical wavelength dependence of the refractive index of a
material
The second derivative of the curve, d
2
n(
λ
)/d
λ
2
, determines the GVD, which
is the rate at which the group velocity changes as a function of wave length,
i.e., it governs the rate at which the frequency components of a pulse
change their relative time. GVD can change the temporal shape of the pulse
by broadening it or narrowing it, depending on the “chirp” of the original
pulse. A pulse is said to be positively chirped, i.e., it has experienced posi-
tive GVD, if the low frequencies lead the high (red is in front), and nega-
tively chirped if the opposite is true. Pulses are typically positively chirped
as they pass through normal materials at visible and near IR wavelengths.
Nonlinear Effects
In addition to GVD, the output pulse width and pulse shape from the Tsu-
nami are governed by the interaction of the pulse with the nonlinear index
of the Ti:sapphire. The nonlinear index of refraction n
2
introduces an inten-
sity-dependent index at high intensities:
n = n
0
+ n
2
I [1]
where n
0
is the linear index of refraction and I is the instantaneous pulse
intensity. This results in self phase modulation (SPM) of the pulse. As the
pulse propagates through the Ti:sapphire material, the leading edge experi-
ences an increasing index of refraction. This causes a delay in the individ-
dn(λ)
dλ
( )
dn(λ)
dλ
( )
dn(λ)
dλ
( )
λ
λ
λ
1
0
−1
λ
1
Red
Blue
λ
0
λ
−1
λ
n(λ)
Phase Velocity =
c
/
n
Group Velocity =
c
/
(n(λ)
λdn
/
dλ
)
Group Delay Time, Tg = (
L
/
c
) (n(λ)
λdn
/
dλ
)
where L is material length

Table of Contents