EasyManua.ls Logo

Spectra-Physics Tsunami - Figure 3-5: Tsunami Femtosecond Tuning Curves for Broadband Optics When Pumped by the Various Millennia Diode-Pumped Cw Lasers Shown

Spectra-Physics Tsunami
238 pages
Print Icon
To Next Page IconTo Next Page
To Next Page IconTo Next Page
To Previous Page IconTo Previous Page
To Previous Page IconTo Previous Page
Loading...
Tsunami Mode-Locked Ti:sapphire Laser
3-6
The wavelength tuning range of the Tsunami laser is 675 nm to 1100 nm
(i.e., the rod and system are capable of continuous tuning over this range).
However, to facilitate stable, high output performance at any wavelength
within this range, several optimized, over-lapping mirror sets are available.
Three general-purpose sets cover the majority of the entire tuning range:
Standard (
S) for 720850 nm
Long (
L) for 8401000 nm
Extra-long (X) for 9701080 nm
Two other sets permit operation in these optional ranges:
•Blue (B) for 690800 nm
Mid-range (M) 780900 nm
With the optional broadband set, the Tsunami can be tuned over almost the
entire range without exchanging intracavity optics:
from <690 nm to >1025 nm
The Tsunami laser comes with the optics set(s) yo specified when you
ordered your system. The tuning curves for these mirror sets are shown in
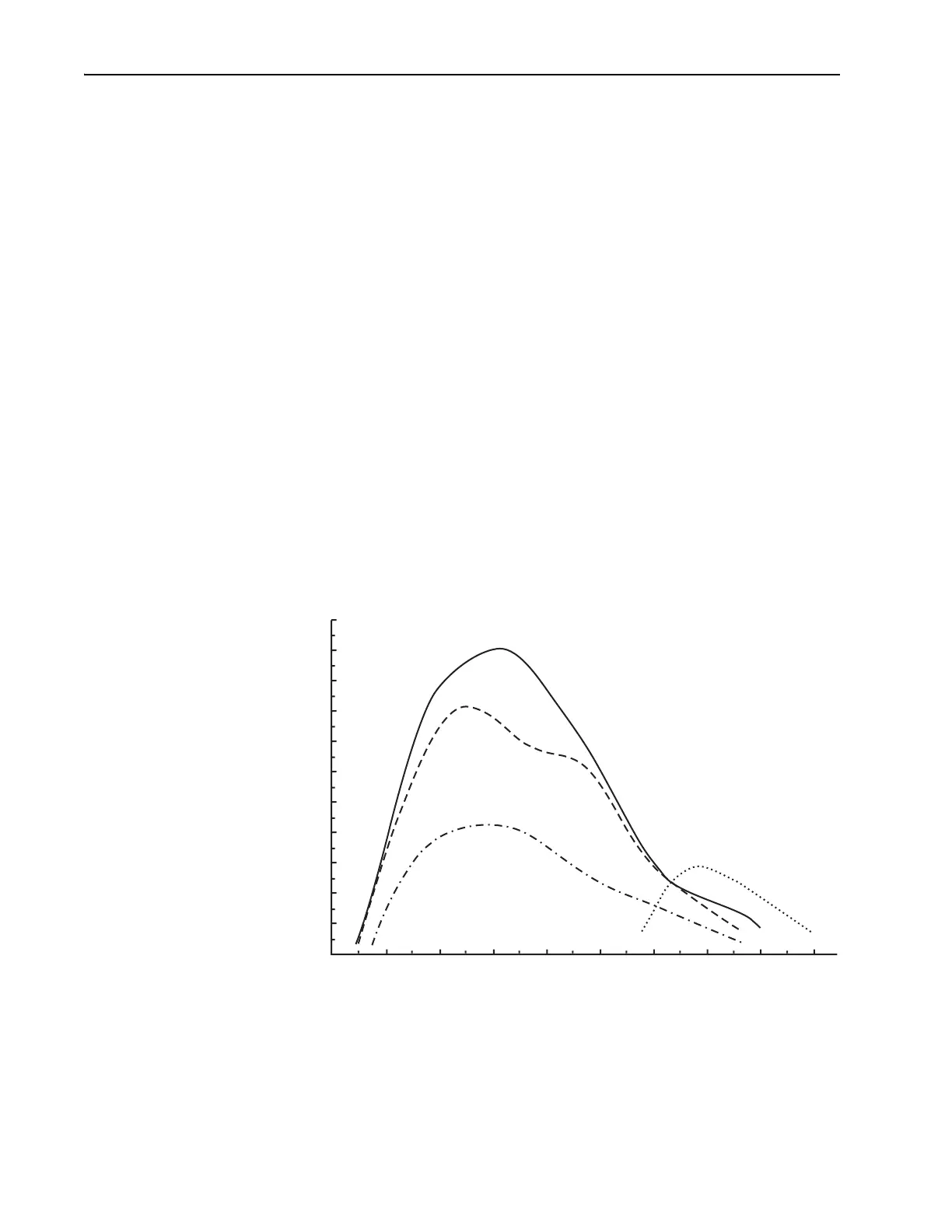
Figure 3-5 through Figure 3-10. Figure 3-5 and Figure 3-6 show the femto-
second and picosecond tuning curves for the broadband mirror sets for sys-
tems pumped by the various Millennia lasers indicated. Tuning curves for
the femtosecond and picosecond narrowband mirror sets are shown in Fig-
ure 3-7 through Figure 3-10. For information on optic sets for different
wavelength ranges, refer to Chapter 10, “Options and Accessories.
Figure 3-5: Tsunami femtosecond tuning curves for broadband optics
when pumped by the various Millennia diode-pumped cw lasers shown.
0.2
650 700 750 800 850 900 950 1000 1050 1100
0.4
0.6
0.8
1.0
1.2
1.4
1.6
1.8
2.0
2.2
Extra Long Optics
Millennia Xs Pump
Millennia Xs Pump
Millennia VIIIs
Pump
Millennia Vs
Pump
Power (W)
Wavelength (nm)

Table of Contents