EasyManua.ls Logo

Omron SYSMAC CJ - REFERENCE MANUAL 08-2008 - Page 620

Omron SYSMAC CJ - REFERENCE MANUAL 08-2008
1405 pages
Print Icon
To Next Page IconTo Next Page
To Next Page IconTo Next Page
To Previous Page IconTo Previous Page
To Previous Page IconTo Previous Page
Loading...
580
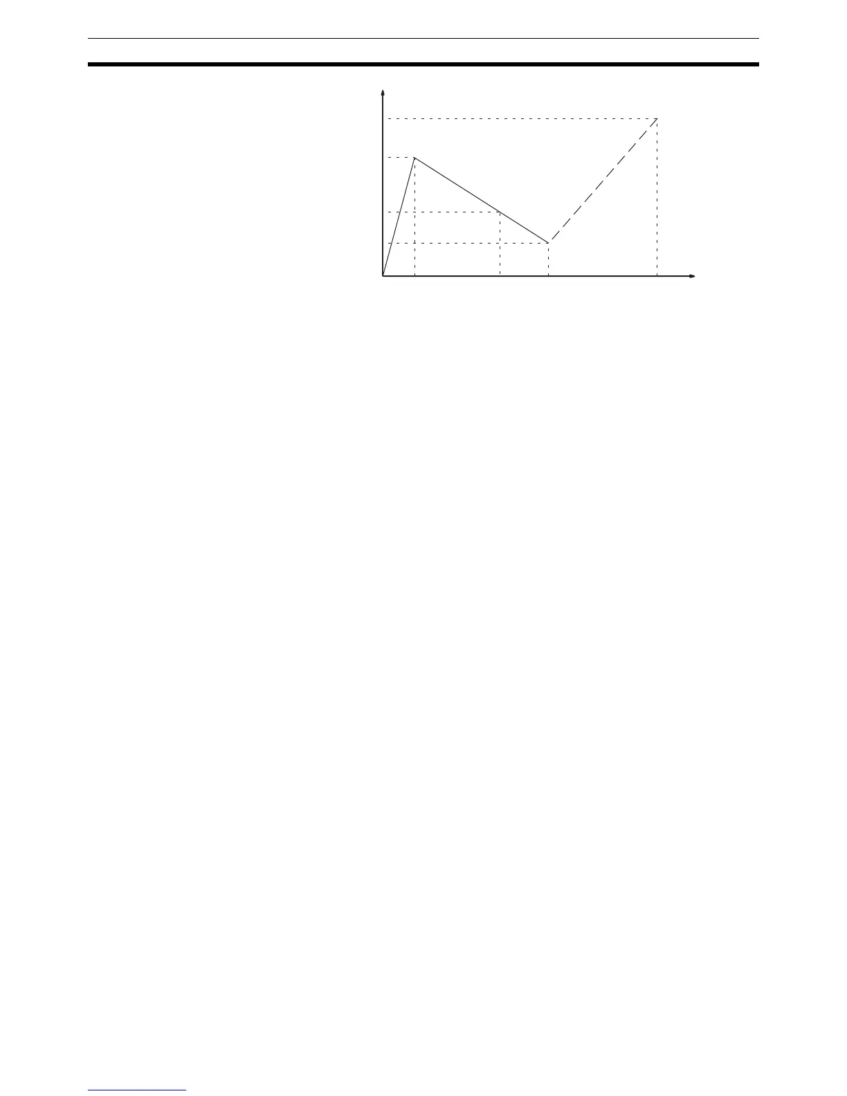
Special Math Instructions Section 3-14
The linear-extrapolation calculation is shown below.
X
Y
$1F20
$0F00
$0726
$0402
(0,0)
$0005 $0014 $001A $05F0
(x,y)
Values are all hexadecimal (Hex)
.
Y0F00
0402 0F00
001A 0005
---------------------------------
0014 0015()×+=
0726=
0F00 0086 000F )×(=

Table of Contents

Related product manuals