EasyManua.ls Logo

Rosemount 5402 - Service Overview and Tools; Analyzing the Measurement Signal

Rosemount 5402
180 pages
Print Icon
To Next Page IconTo Next Page
To Next Page IconTo Next Page
To Previous Page IconTo Previous Page
To Previous Page IconTo Previous Page
Loading...
Reference Manual
00809-0100-4026, Rev FA
July 2009
Rosemount 5400 Series
7-4
SERVICE OVERVIEW The functions mentioned in this section are available in the Rosemount Radar
Master (RRM) configuration program.
ANALYZING THE
MEASUREMENT SIGNAL
Rosemount Radar Master (RRM), and other tools using enhanced Electronic
Device Description Language (EDDL), has powerful functions for advanced
troubleshooting. By using the Echo Curve plot function, an instant view of the
tank signal is displayed. Measurement problems can be resolved by studying
the position and amplitude of the different pulses.
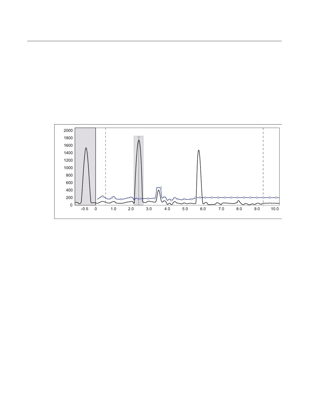
Figure 7-1. The Echo Curve
presents all visible echoes.
In a typical measurement situation, the following pulses appear in the
diagram:
Reference. This pulse is caused by the transition between transmitter head
and antenna and it is used by the transmitter as a reference at level
measurements.
A missing reference pulse might be a symptom of a malfunctioning
transmitter. Contact your local Emerson Process Management representative
for assistance.
Product surface. This pulse is caused by a reflection on the product surface.
Different amplitude thresholds are used to filter out unwanted signals and pick
up different pulses. The transmitter uses certain criteria to decide which type
of pulse that is detected.
Echoes found above the Surface Threshold might be considered the product
surface.
Surface Threshold. The amplitude threshold used for detecting the Product
level peak. The amplitude threshold is designed as a number of individually
adjustable amplitude threshold points, the Amplitude Threshold Curve (ATC).
See “Amplitude Threshold Curve” on page 5-11.
The ATC is set during the Measure and Learn function and can be adjusted
manually. The ATC is used for filtering out disturbances with an amplitude
smaller than the product surface echo.
Reference
Product
Surface
Unknown
Hold Off
distance
Tank
Bottom
False Echo
Surface Threshold / ATC

Table of Contents

Related product manuals