EasyManua.ls Logo

Xerox PHASER 6121MFP - Fuser Temperature Control

Xerox PHASER 6121MFP
532 pages
To Next Page IconTo Next Page
To Next Page IconTo Next Page
To Previous Page IconTo Previous Page
To Previous Page IconTo Previous Page
Loading...
2-14 Phaser 6121MFP Service Manual
Theory of Operation
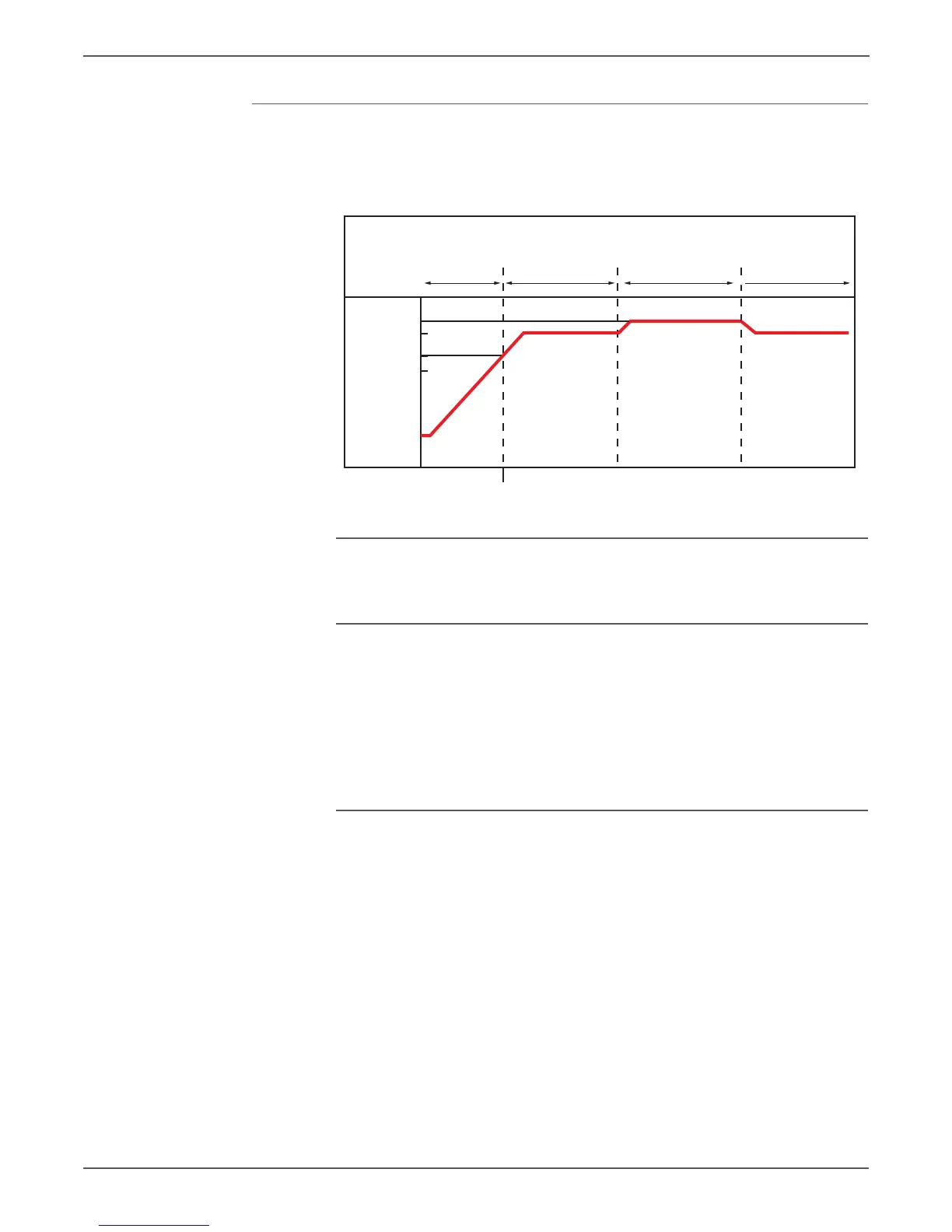
Fuser Temperature Control
To fuse the image on the media, the heater lamps are turned On and Off as
necessary to bring the fusing temperature to an appropriate level. Thermistors are
used to detect the surface temperature of the Fuser roller.
Warm-up Control
Control is provided until the Fuser roller reaches the predetermined level.
Control Start Timing
The power switch is turned On.
A malfunction or media misfeed is reset.
The main body leaves the power save mode.
A door is closed.
Control Termination Timing
The Fuser roller reaches a predetermined temperature.
A malfunction or media misfeed is reset.
•A door is opened.
s6121mfp-113
Warm-up Control Wait Control Print Control Wait Control
Printing
Temperature
Warm-up
Complete
Temperature

Table of Contents

Other manuals for Xerox PHASER 6121MFP

Related product manuals