EasyManua.ls Logo

Baumuller b maXX BM1000 - Overheat (OH); Overload OL

Baumuller b maXX BM1000
176 pages
Print Icon
To Next Page IconTo Next Page
To Next Page IconTo Next Page
To Previous Page IconTo Previous Page
To Previous Page IconTo Previous Page
Loading...
Error detection and troubleshooting
Manual b maXX
®
BM1000
Document No. 5.07003.04
93
of 174
8
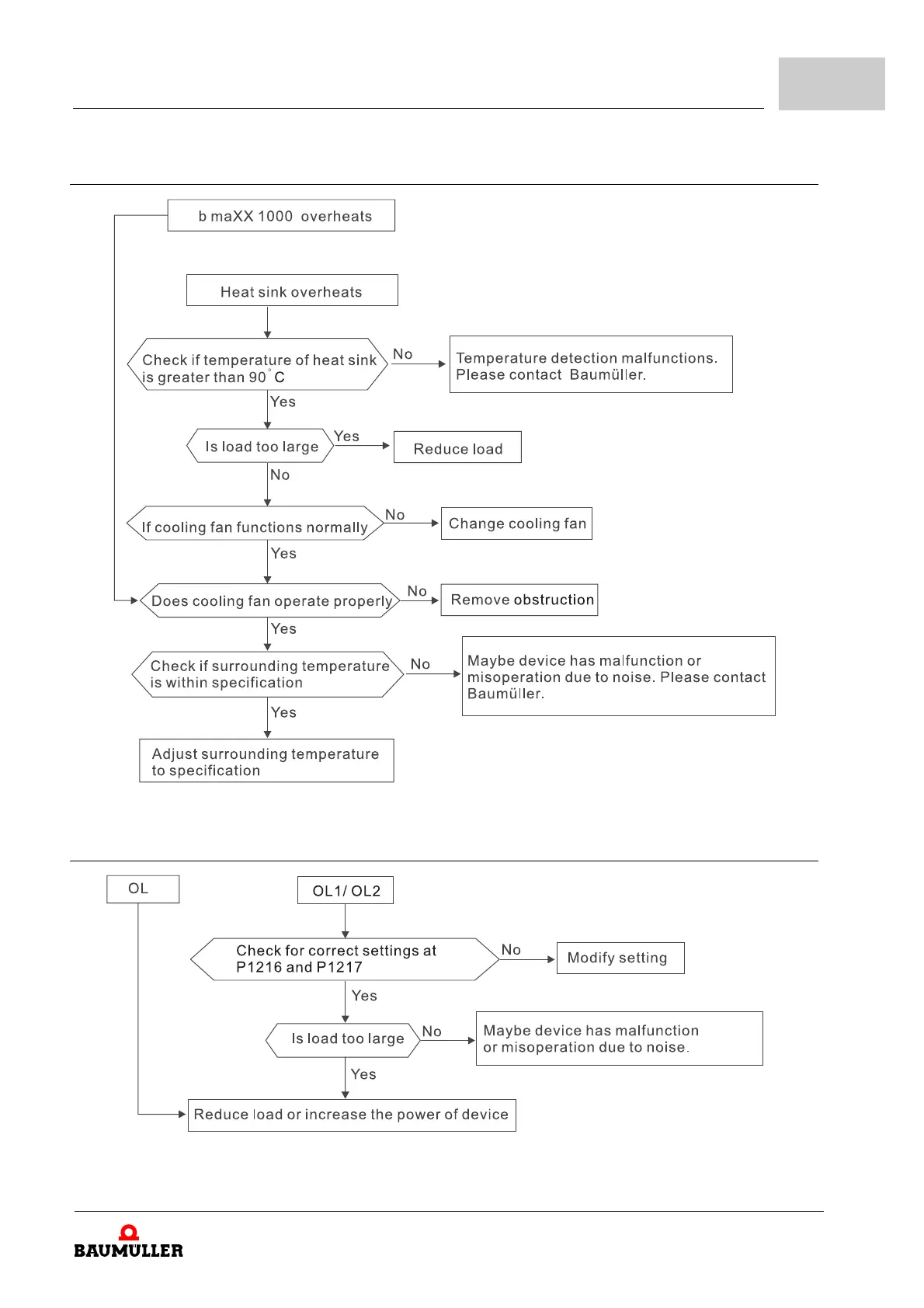
8.6.5 Overheat (OH)
Figure 51: Troubleshooting overheat
8.6.6 Overload OL
Figure 52: Troubleshooting overload

Table of Contents

Related product manuals