EasyManua.ls Logo

Diesse Chorus - Titration in the Quantitative Tests

Default Icon
127 pages
Print Icon
To Next Page IconTo Next Page
To Next Page IconTo Next Page
To Previous Page IconTo Previous Page
To Previous Page IconTo Previous Page
Loading...
Manuale operativo
CHORUS
96 Rev. 0 del 06/2012
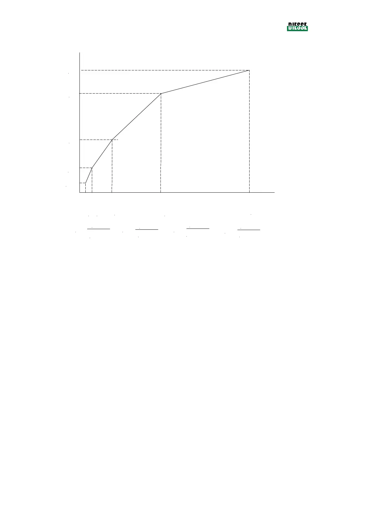
dose 1
dose 3
dose 4
dose 5
dose 2
OD1
1
O
D
3
OD4
OD5
ODcal
I1
I3
I4
I5
ODcal
ODcal
ODcal
I1 =
I3 =
I4 =
I5 =
The calibration curve is stored in the memory of the instrument.
fig. 111
5.3.5 T
ITRATION IN THE QUANTITATIVE TESTS
The sample is processed with one strip of a test batch and its optical density is thus determined:
OD
sample
= OD3 – OD1
Then, Index parameter (ndx) is evaluated, using the OD
cal
that was stored for the test batch, as follows:
Index = OD
sample
/ OD
cal
The index value is used on the CC to determine the value of the dose and give its titer using the unit of
measure defined by the method.
Besides the titer, the indication of positive/negative is also supplied by the same procedure for the
qualitative tests, except that the area of doubt is calculated using the titer expressed by the calibrator
as unit of reference.
5.3.5.1 Recovery percentage
In the quantitative test for autoimmunity Thyroglobulin (Tg) another data is supplied: the recovery
percentage R%, which is used to confirm the result of th main reaction ( well n°6)
It is calculated as follows:
If T
5
and T
6
represent the concentrations (in ng/ml) determined by the Tg test in cuvettes 5 and 6 of the
strip, then the formula is:

Table of Contents

Related product manuals