EasyManua.ls Logo

Prevac MG15 - Checksum Calculation Algorithm

Prevac MG15
122 pages
Print Icon
To Next Page IconTo Next Page
To Next Page IconTo Next Page
To Previous Page IconTo Previous Page
To Previous Page IconTo Previous Page
Loading...
COMMUNICATION MULTI GAUGE CONTROLLER
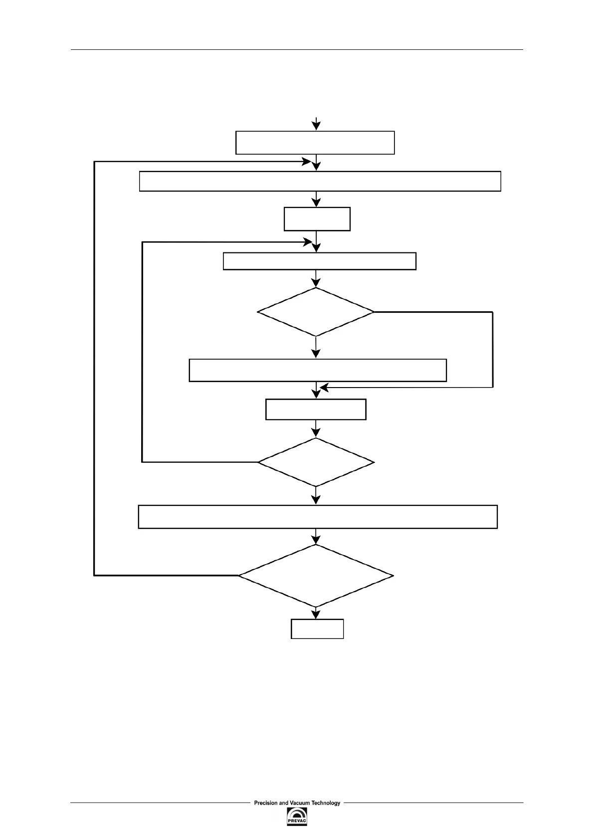
Figure 6.7 illustrates this algorithm of checking CRC errors.
Symbol ’⊕’ indicates XOR operation. “n” means a number of data bits.
START
0xFFFF →CRC Register
CRC Register next byte of the message →CRC Register
0 →n
Shift CRC Register right one bit
Overlow?
NO
YES
CRC Register 0xA001 →CRC Register
n + 1 →n
n > 7?
NO
YES
CRC Register A001h →CRC Register
Is message complete?
NO
YES
END
Figure 6.7: Checksum calculation algorithm
Page 92 User manual rev. 03

Table of Contents