EasyManua.ls Logo

Siemens 7SC80 - Page 52

Siemens 7SC80
782 pages
Print Icon
To Next Page IconTo Next Page
To Next Page IconTo Next Page
To Previous Page IconTo Previous Page
To Previous Page IconTo Previous Page
Loading...
[diagramm-kapazitiver-spgsansch-24012013, 1, en_US]
Figure 2-6 Capacitive Voltage Measurement
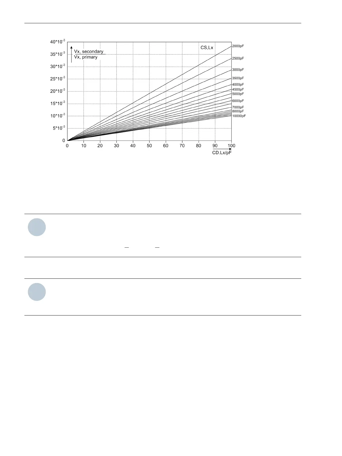
The device can fully function only if the secondary voltage that results from the nominal voltage on the
primary side lies within a certain range. If the primary nominal voltage at the voltage inputs causes a too small
or too high voltage, the function of the device will be blocked. This plausibility check is run each time the
device starts up based on the configured parameter values for the primary nominal voltage and the configured
capacitance values.
i
i
NOTE
The settings for the primary nominal voltage and the settings of the capacitance values must lead to a
voltage between 34 V and 140 V on the secondary side (voltage inputs of the device) with nominal voltage
on the primary side. Since the input voltages are phase-to-ground voltages, the operational range for the
input voltages is hence 34 V / √
3 to 140 V / √3 .
If this condition is not satisfied for at least one of the three voltage inputs, the device will generate the
messages “Device Failure” and 10036
Capac.Par.Fail.
after startup.
i
i
NOTE
The bushing capacitances used only have to be available to the connected 7SC80. It is therefore not
permitted to connect, for example, a capacitive voltage measuring device to the same bushing capaci-
tances!
Internal Normalization of the Measured Voltages
The capacitance values for the three voltage inputs will usually not be absolutely identical. From this, we can
conclude that voltages identical on the primary side are mapped differently at the voltage inputs. The meas-
ured voltages are normalized by the device so that the three phase-to-ground voltages can still be linked by
calculation (e.g. to calculate the phase-to-phase voltages of the positive sequence system and of the negative
sequence system etc.). This normalization has the effect that the primary nominal voltage in the device leads
to voltage values that correspond to the configured secondary nominal voltage (parameter 203 Vnom
SECONDARY) even though the real voltages at the input terminals are different.
The setting of parameter 203 Vnom SECONDARY should be roughly equivalent to the voltage at the terminals
of the protection device at primary nominal voltage. If capacitive voltage measurement is selected, a setting
range of 34 V to 140 V is sufficient for this parameter.
Functions
2.1 General
52 SIPROTEC Compact, 7SC80, Manual
E50417-G1140-C486-A8, Edition 07.2017

Table of Contents