EasyManua.ls Logo

Alliance Laundry Systems FLW1526C - Page 34

Alliance Laundry Systems FLW1526C
255 pages
Print Icon
To Next Page IconTo Next Page
To Next Page IconTo Next Page
To Previous Page IconTo Previous Page
To Previous Page IconTo Previous Page
Loading...
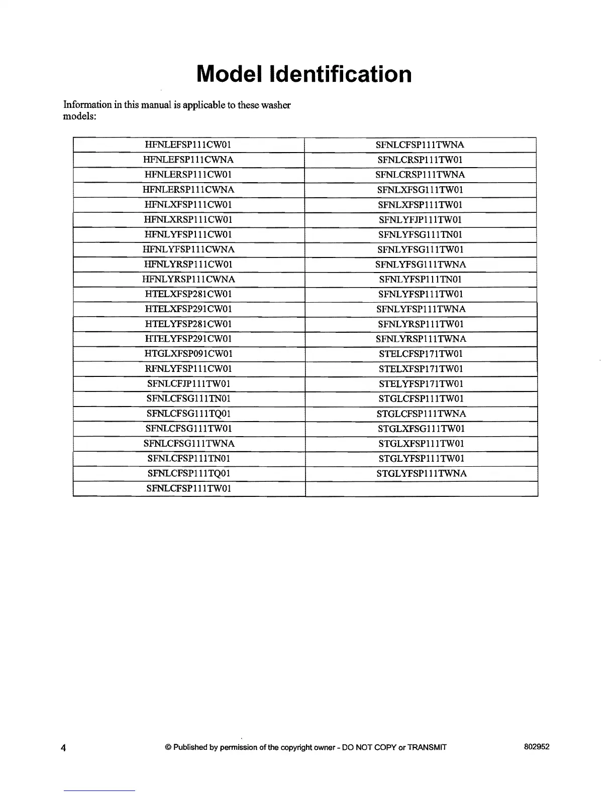
Model Identification
Information in this manual
is
applicable
to
these washer
models:
HFNLEFSP111CW01 SFNLCFSP111 TWNA
HFNLEFSP111C~A
SFNLCRSP111TW01
HFNLERSP111CW01 SFNLCRSP111 TWNA
HFNLERSP111C~A
SFNLXFSGl11
TWO
1
HFNLXFSP111CW01
SFNLXFSP
111
TWO
1
HFNLXRSPI11CW01 SFNLYFJP111TW01
HFNLYFSP111CW01
SFNLYFSGll11NOl
HFNL YFSP111CWNA
SFNL YFSG
111
TWO
1
HFNLYRSPIIICW01
SFNL YFSGl11 TWNA
HFNLYRSPl11~A
SFNL
YFSPIII1NOl
HTELXFSP281
CWO
1
SFNLYFSPIIITWOl
HTELXFSP291
CWO
1
SFNL
YFSPlll
TWNA
HTEL YFSP281
CWO
1
SFNLYRSPII1TWOl
HTEL YFSP291
CWO
1
SFNLYRSPI11TWNA
HTGLXFSP091CWOl
STELCFSP171
TWO
1
RFNLYFSPII1CWOl
STELXFSP171
TWO
1
SFNLCFJP111TWOl
STELYFSP171TW01
SFNLCFSGll11NOl
STGLCFSP111
TWO
1
SFNLCFSGl11 TQ01 STGLCFSP111 TWNA
SFNLCFSGllITWOl
STGLXFSGII1TW01
SFNLCFSGlll
TWNA
STGLXFSPI11TWOl
SFNLCFSP1111N01
STGL YFSP
111
TWO
1
SFNLCFSP111 TQOI
STGL
YFSP111
TWNA
SFNLCFSPIIITWOl
4
© Published
by
permission
of
the
copyright owner - DO NOT
COpy
or
TRANSMIT
802952

Table of Contents

Related product manuals