EasyManua.ls Logo

Penlon Prima 460 - Operational Capability; Output Compensation Functions

Penlon Prima 460
138 pages
Print Icon
To Next Page IconTo Next Page
To Next Page IconTo Next Page
To Previous Page IconTo Previous Page
To Previous Page IconTo Previous Page
Loading...
Prma 460 34 User Manual
Description
Rate (bpm)
0
10 20
30 40 50 60
70
80
Tdal volume (VT)
(ltres)
16
01
02
10
06
14
04
12
08
03
11
07
15
05
13
09
X
16
15 13 12 11 103
IE Rato
14
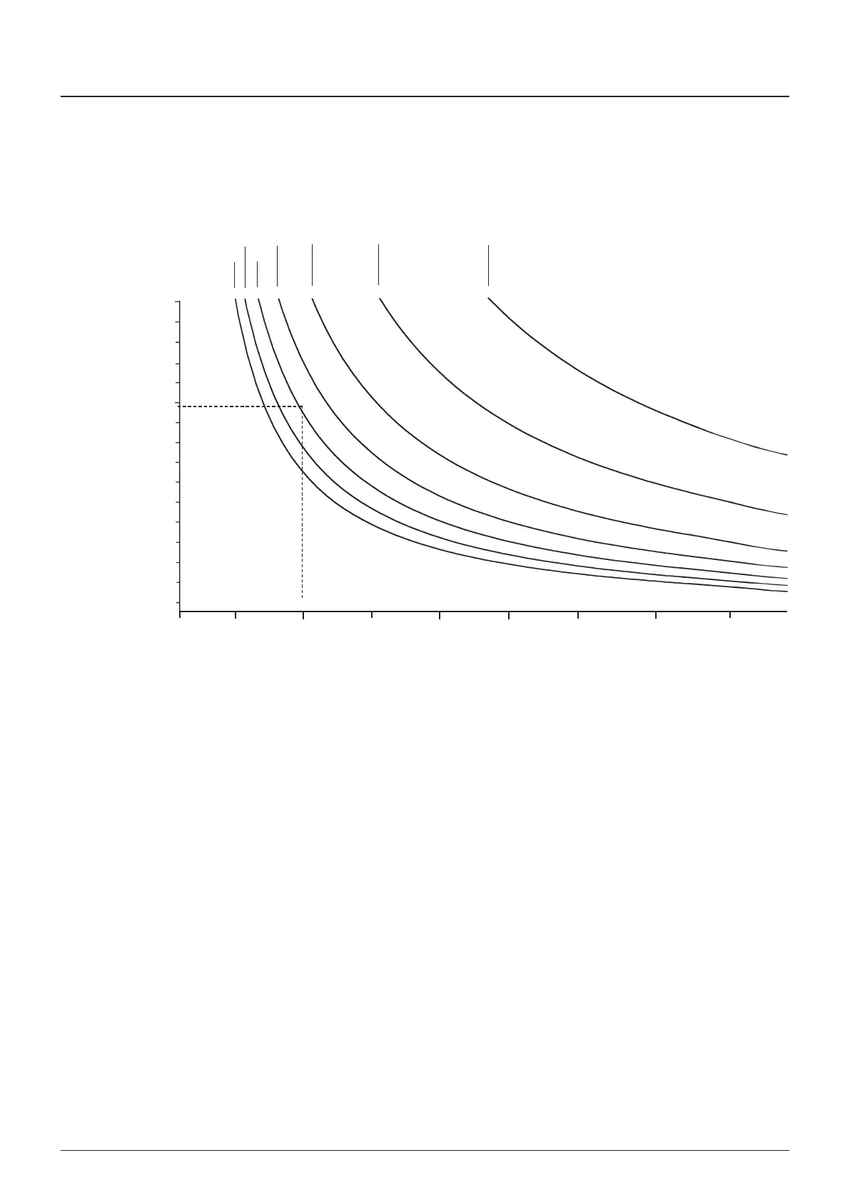
3.12.8 Operational Capability
Tdal Volume, Rate, and IE rato settngs are all lmted by a maxmum
nspratory flow of 75 L/mn, and a mnmum flow of 2 L/mn
The ventlator s capable of operatng at the volumes and rates below each
IE rato curve
In ths example, the pont of ntersecton X on the graph shows that an
IE rato can be set from 1  0 3 to 1  4, as these curves are all above the
ntersecton pont
Smlarly, a rato of 15 cannot be set, as ths s below the ntersecton pont
3.12.9 Output Compensation Functions
WARNIN
The Ventlator automatcally compensates for
1 Fresh gas flow
2 Fresh gas mxture
3 Alttude
However, the actual tdal volume delvered to the patent may be dfferent
to the ventlaton parameters set by the user, due to
1 omplance effect
2 A substantal system leak
3 Patent crcut resstance effects
4 Extreme fresh gas flows
In addton, hgh fresh gas flows wll lead to an ncreased VT beng
delvered to the patent The patent must be montored ndependently
from the ventlator It s the responsblty of the user to montor the patent
for adequate ventlaton

Table of Contents

Related product manuals