EasyManua.ls Logo

Cessna 182 1978 - Rochester Gage Transmitter; Stewart Warner Gage Transmitter Calibration

Cessna 182 1978
680 pages
Print Icon
To Next Page IconTo Next Page
To Next Page IconTo Next Page
To Previous Page IconTo Previous Page
To Previous Page IconTo Previous Page
Loading...
MODEL
182
&
T182
SERIES
SERVICE
MANUAL
15-55.
TRANSMITTER ADJUSTMENT.
WARNING
Using
the
following
fuel
transmitter
calibration
procedure
on
components
other
than
the
originally
installed
(Stewart
Warner)
components
will
result
in
a
faulty
fuel
quantity
reading.
15-55A.
STEWART
WARNER
GAGE
TRANSMITTER
CALIBRATION.
Chances
of
transmitter
calibration
changing
in
normal
service
is
remote;
however,
it
is
possible
that
float
arm
or float
arm
stops
may
become
bent
if
transmitter
is
removed
from
cell.
Transmitter
calibration
is
obtained by
adjusting
float
travel.
Float
travel
is limited
by
float
arm
stops.
WARNING
Use
extreme
caution
while
working
with
electrical
components
of
the
fuel
system.
The
possibility
of
electrical
sparks
around
an
"empty" fuel
cell
creates
a
hazardous situation.
Before
installing
transmitter,
attach
electrical
wires
and
place
master
switch
in
"ON"
position.
Allow float
arm
to
rest
against
lower
float
arm
stop
and
read
indicator.
The
pointer
should be
on
E
(empty)
position.
Adjust
the
float
arm
against
lower
stop so
pointer
indicator
is
on
E.
Raise
flat
until
arm
is
against
upper
stop
and
adjust
upper
stop
to
permit
indicator pointer
to
be
on
F
(full).
Install
transmitter in
accordance
with
paragraph
16-50.
15-55B.
ROCHESTER
GAGE
TRANSMITTER.
Do
not
attempt
to
adjust
float
arm
or
stop.
No
adjustment
is
allowed.
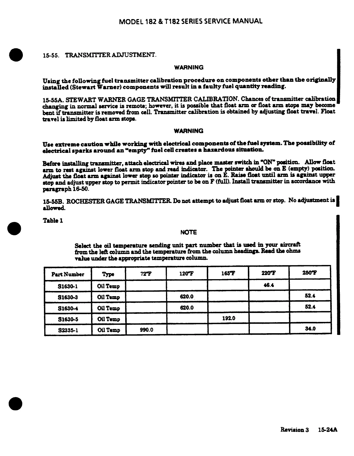
Table
1
NOTE
Select
the
oil
temperature
sending
unit
part
number
that
is used
in
your
aircraft
from
the
left
column
and
the
temperature
from
the
column
headings.
Read
the
ohms
value
under
the
appropriate
temperature
column
Part
Number
Type
72°F
120°F
165°F
220°F
250°F
S1630-1
Oil
Temp
46.4
S1630-3
Oil
Temp
620.0
52.4
S1630-4
Oil
Temp
620.0
52.4
S1630-5
Oil
Temp
192.0
S2335-1
Oil Temp
990.0
34.0
Revision
3
15-24A

Table of Contents

Related product manuals