EasyManua.ls Logo

Micom P634 - Page 113

Micom P634
840 pages
Print Icon
To Next Page IconTo Next Page
To Next Page IconTo Next Page
To Previous Page IconTo Previous Page
To Previous Page IconTo Previous Page
Loading...
0
2
4
6
8
10
12
14
16
18
20
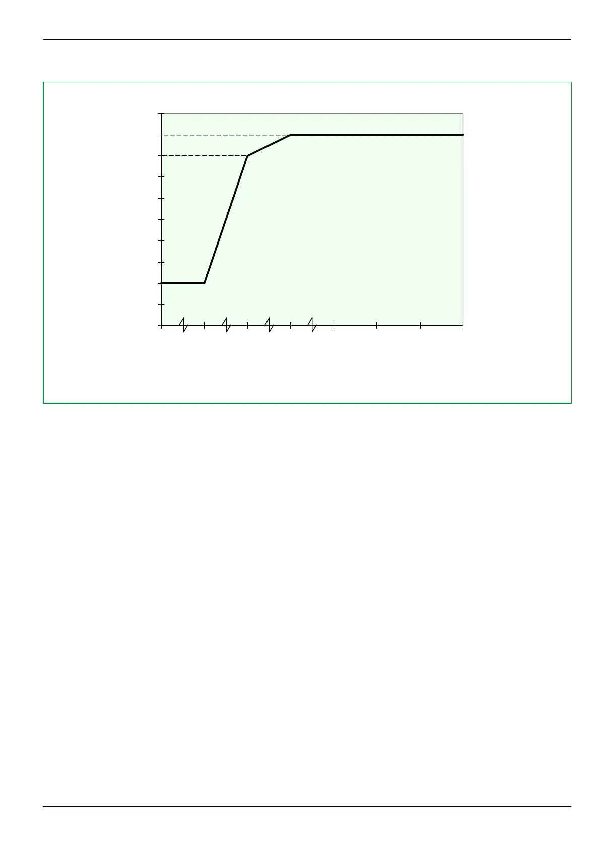
0 0.02 0.1 1 1.2 1.3 1.4 1.5
Ia / mA
Min.
output value
Knee point
output value
Max.
output value
Mx,scal0.013
0.067
0.667
Vnom
1.0
19Z5265A
Fig. 3-35: Example of a characteristic curve for analog measured data output . In this example the range starting
value is = 0; also possible is directional-signed output (see corresponding example in section BCD Measured Data
Output).
3 Operation P634
P634/EN M/R-42-A // P634311653 3-57

Table of Contents

Related product manuals