EasyManua.ls Logo

Siemens simovert masterdrives - Page 929

Siemens simovert masterdrives
1547 pages
To Next Page IconTo Next Page
To Next Page IconTo Next Page
To Previous Page IconTo Previous Page
To Previous Page IconTo Previous Page
Loading...
06.2005 Engineering Information
Siemens AG 6SE7087-6QX70 (Version AE)
SIMOVERT MASTERDRIVES Compendium Motion Control 11-29
M/Nm
M
Mot max
n/min
-1
n
Mot max
60
50
40
30
20
10
0
1000 2000 30001500 2500
500
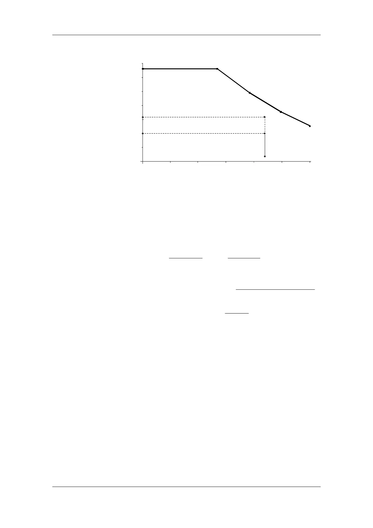
Fig. 11-14 Dynamic limit curve for the 1FT6084-8AF7 with the points of the load
cycle
As a check on the thermal limits, the effective motor torque is
calculated. This is done by determining all the motor torques within the
travel curve in addition to the motor torque during acceleration.
Motor torque during constant travel
MM
i
Nm
Mot k W
mech
G
=⋅
⋅⋅
=⋅
⋅⋅
=
1
27 47
1
10 0 9 095
321
ηη
.
.
.
Motor torque during deceleration
MMMMM
i
Motv v Mot
vG
v Load W
mech
G
sign M M
vload W
=− + +
⋅⋅
−+
()
()
()
1
ηη
=− + +
=−5 94 0 914 179 2 27 47
09 095
10
19 83..(..)
..
.Nm
Here, the proportion of deceleration torque outweighs the resistance
torque. Regenerative operation occurs. In this case, the efficiency
levels are above the line (the sign before the bracketed term
"-M
v load
+M
W
" is negative).
The torque characteristic can be determined using the values
calculated for the motor torque.

Table of Contents

Other manuals for Siemens simovert masterdrives

Related product manuals