EasyManua.ls Logo

Delta MH300 Series - Page 246

Delta MH300 Series
1030 pages
To Next Page IconTo Next Page
To Next Page IconTo Next Page
To Previous Page IconTo Previous Page
To Previous Page IconTo Previous Page
Loading...
Chapter 9 Specification
MH300
9-13
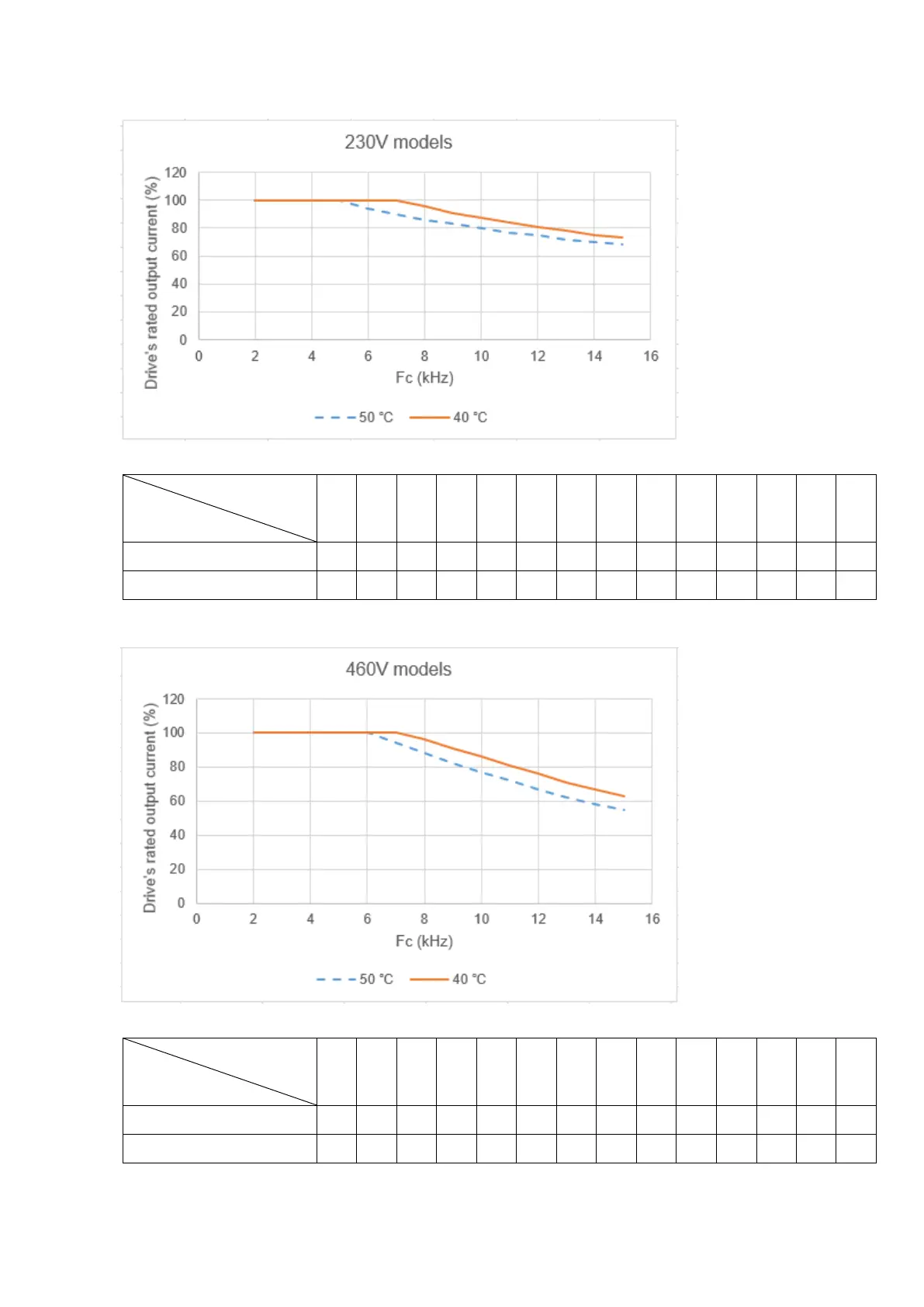
Dual pulse-width modulation (DPWM) mode
230V models
Fig. 9-5
In normal duty, the rated output current of DPWM mode in different carrier frequency. (Unit: %)
Fc (kHz)
Ambient
temperature (Ta)
100% load
2 3 4 5 6 7 8 9 10 11 12 13 14 15
50°C 100 100 100 100 94 90 86 83 80 77 75 72 70 68
40°C 100 100 100 100 100 100 96 91 87 84 81 78 75 73
Table 9-18
460V models
Fig. 9-6
In normal duty, the rated output current of DPWM mode in different carrier frequency. (Unit: %)
Fc (kHz)
Ambient
temperature (Ta)
100% load
2 3 4 5 6 7 8 9 10 11 12 13 14 15
50°C 100 100 100 100 100 94 88 82 77 72 67 62 58 55
40°C 100 100 100 100 100 100 96 91 86 81 76 71 67 63
Table 9-19

Table of Contents

Related product manuals