EasyManua.ls Logo

Tormach PCNC 440 - 9.3.4 Angular Contact Bearing Preload Adjustment; 9.3.4.1 Overview

Tormach PCNC 440
183 pages
Print Icon
To Next Page IconTo Next Page
To Next Page IconTo Next Page
To Previous Page IconTo Previous Page
To Previous Page IconTo Previous Page
Loading...
Chapter 9
165
UM10372_PCNC440_Manual_0221A
MAiNTENANCE
The recommended method for gib adjustment is to measure axis lost moon while incrementally
ghtening the gibs to arrive at the correct seng. The following procedure describes this method
for the Z-axis. A similar procure can be used to adjust the X-axis and Y-axis gibs; however, it should
be noted that the X- and Y-axis gib adjustments cannot be considered in isolaon. Tightening or
loosening a gib on either axis also has an eect on the opposing axis.
1. Loosen upper gib screw eight rotaons and ghten the lower gib screw eight rotaons. This
ensures gib clearance is quite loose.
2. Use a dial indicator to measure lost moon in the Z-axis (for more informaon, refer to How to
Measure Lost Moon secon earlier in this chapter). With a very loose gib, the majority of the
measured lost moon is aributable to the backlash in the angular contact bearing pair. On
a new mill, this value measured should be less than 0.002” on the Z-axis and less than .0018”
on both the X- and Y-axis.
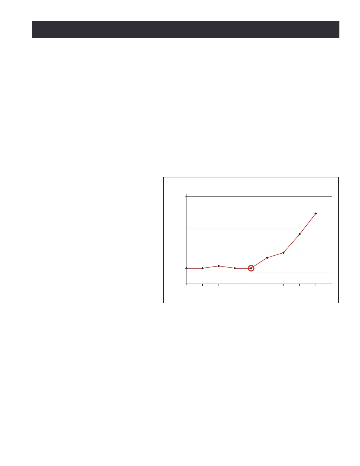
3. Tighten the gib by one turn
by loosening the lower
screw rst, then ghtening
the upper screw. Measure
the backlash again.
4. Repeat this procedure unl
the measured backlash
begins to increase. At this
point, the gib seng is
slightly too ght.
5. Back the adjustment o to
the point just before you
saw the increased backlash.
That is the ideal seng for
the axis (see Figure 9.3).
NOTE: Aer any gib adjustment, ensure
that both adjustment screws are ght or
the gib may move out of adjustment.
9.3.4 Angular Contact Bearing Preload Adjustment
9.3.4.1 Overview
Each axis ulizes a double-nut, pre-loaded ball screw. The preload in the ball nut is set at the factory
by placing a precision ground spacer between the two ball nuts. Lost moon aributable to the ball
screw assembly is 0.00”. Ball nut preload is not operator-adjustable.
The ball screw mount bearings are located in the stepper motor for each ball screw. These are a
pre-loaded angular contact bearing pair and are operator-adjustable. Under typical use, these
bearings should be adjusted so that observable lost moon is between 0.0012” to 0.0018”.
0.004
0.0035
0.003
0.0025
0.002
0.0015
0.001
0.0005
0
0 0.5 1 1.5 2 2.5 3 3.5 4 4.5
Backlash (in)
Backlash Versus Turns of Adjusting Screw
Number of Turns of Adjusting Screw
(0 represents a loose gib, 5 represents a tight gib)
Figure 9.3

Table of Contents

Other manuals for Tormach PCNC 440