EasyManua.ls Logo

YASKAWA MP920 - Page 100

YASKAWA MP920
336 pages
Print Icon
To Next Page IconTo Next Page
To Next Page IconTo Next Page
To Previous Page IconTo Previous Page
To Previous Page IconTo Previous Page
Loading...
5.7 CP-215 Repeaters
5-39
5
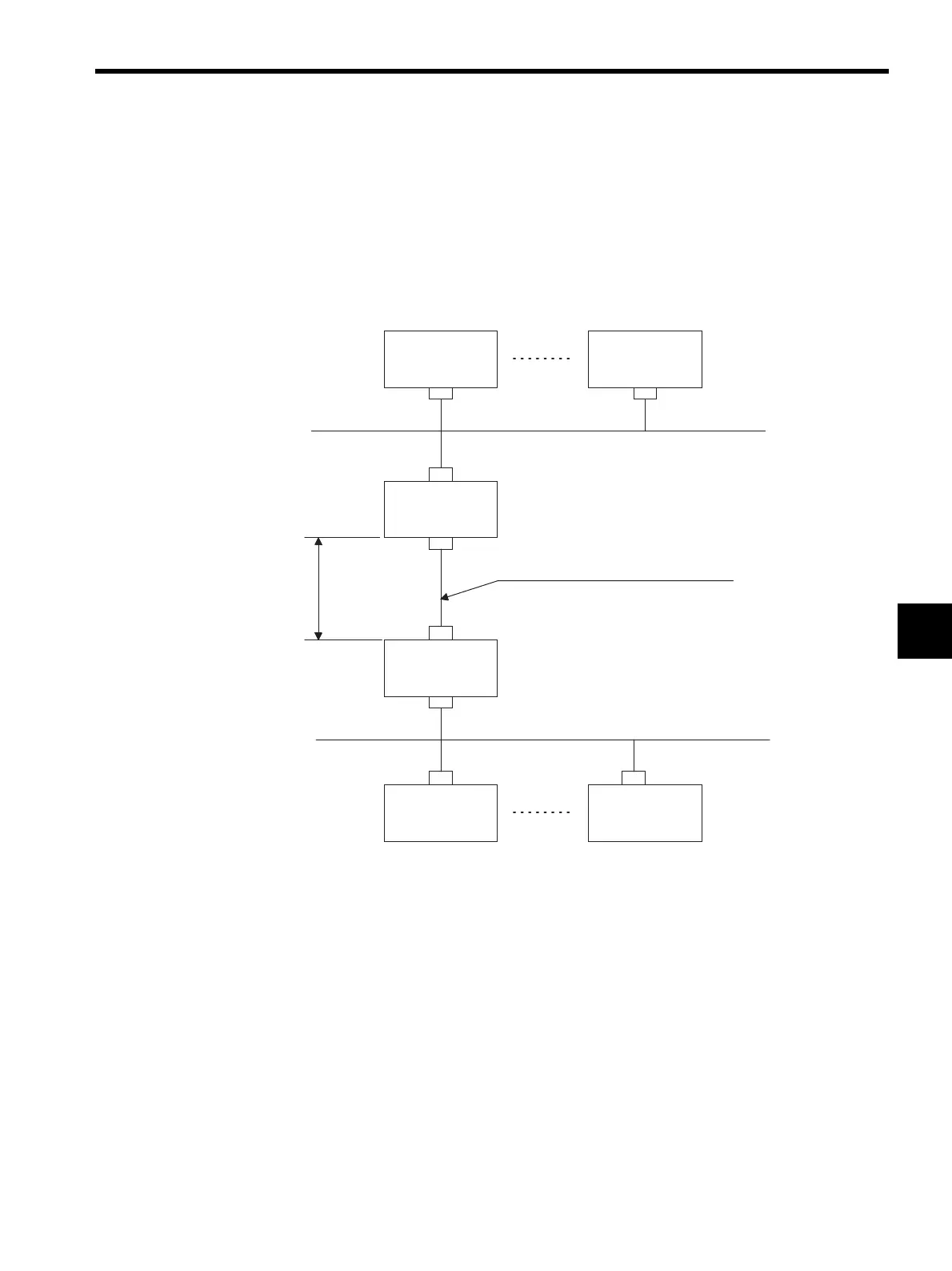
Standard System Configuration for Electrical Repeater-TT and
Repeater-TC
The following example shows the standard system configuration using two Electrical
Repeaters.
Use two Electrical Repeaters-TT/-TC when the transmission distance is long. These Electri-
cal Repeaters can be connected using twisted-pair cables or coaxial cables.
Fig. 5.7 Standard System Configuration for Electrical Repeaters-TT and -TC
-TT or -TC
CN3
CN1
-TT or -TC
CN3
CN1
Station
CP-215 main bus
0.5 or 1 km max.
170 m max. per 30 stations
Twisted-pair cable or coaxial cable
Electrical Repeater
Electrical Repeater
170 m max. per 30 stations
CP-215 branch bus
Station
Station Station

Table of Contents

Related product manuals