EasyManua.ls Logo

YASKAWA MP920 - Page 102

YASKAWA MP920
336 pages
Print Icon
To Next Page IconTo Next Page
To Next Page IconTo Next Page
To Previous Page IconTo Previous Page
To Previous Page IconTo Previous Page
Loading...
5.7 CP-215 Repeaters
5-41
5
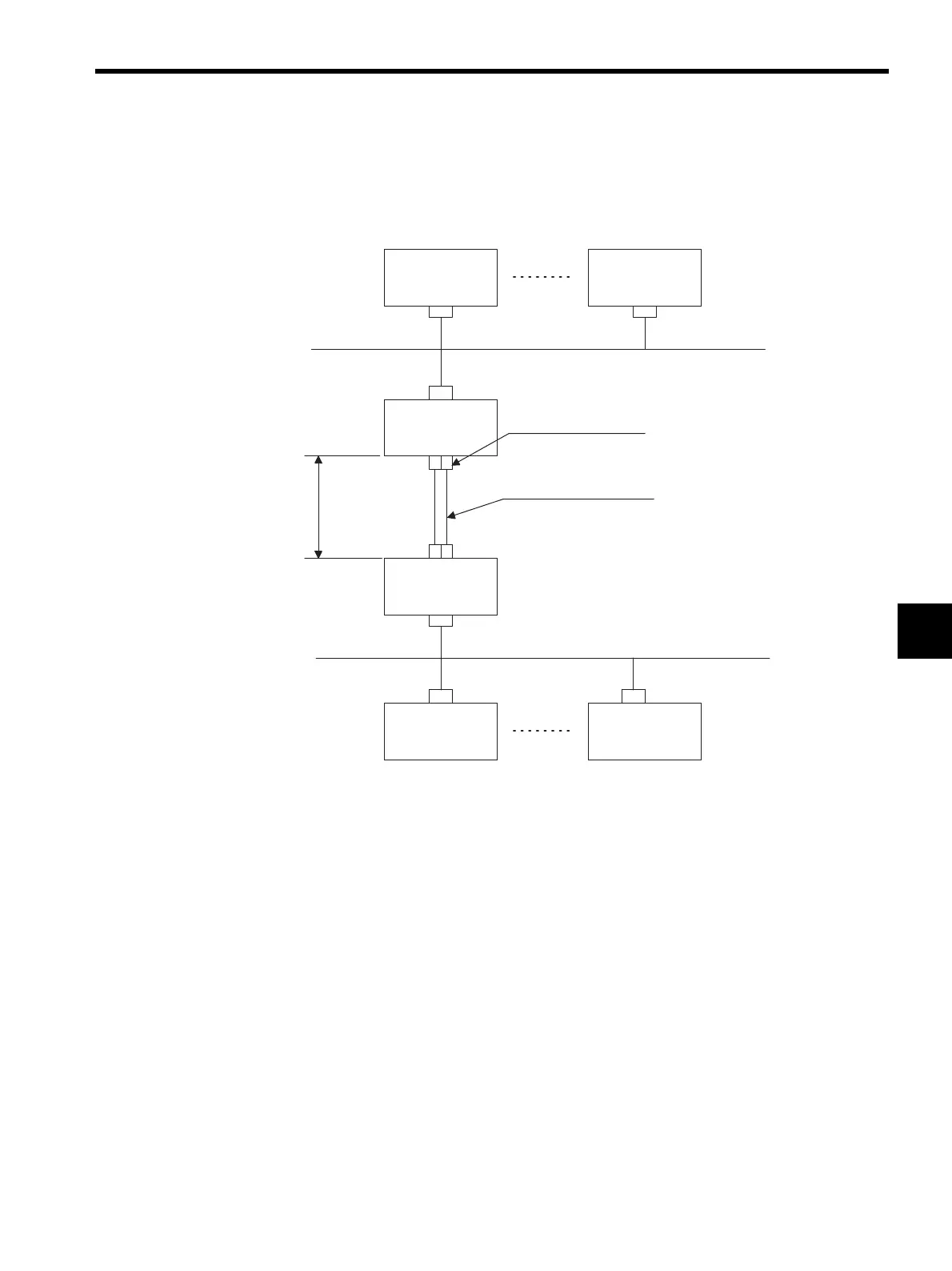
Standard System Configuration for Optical Repeater-TS
The following example shows the standard system configuration using two Optical Repeat-
ers.
Fig. 5.9 Standard System Configuration for Optical Repeater-TS
Dual System Configuration
The following example shows a Dual system configuration for Repeaters.
If the CP-215 transmission line consists of a simplex system, the respective Repeaters on the
upstream side of systems A and B can be switched to primary or standby Repeaters by using
the system A/B changeover contact input signal (CN2). Switch the current primary Repeat-
ers to standby Repeaters first, then switch the current standby Repeaters to primary Repeat-
ers. Be sure to follow this switching sequence. Set the system A/B changeover contact input
signal for the Repeaters on the downstream side to ON all the time, or turn ON pin 7 of
SW1.
When the Repeaters and transmission cables in the primary system fail, the standby system
will switch to the primary system to recover transmissions. A transmission error will exist
from the time the failure occurs until the standby system switches to the primary system.
The difference in the Repeater-to-Repeater cable length between systems A and B must be
less than 2 km.
CN4
CN1
CN3
CN1
CN4
CN3
Station
Repeater-TS
Repeater-TS
CP-215 branch bus
CP-215 main bus
TS2: 2 km
TS5: 5 km
CN3, CN4: FC connector
Two-core optical fiber cable
(TS2: Gl-50/125, 850 m, 200 MHzkm, 2.5 to 3 dB/km)
(TS5: Gl-50/125, 1,300m, 200 MHzkm, 0.7 to 1 dB/km)
170 m max. per 30 stations
170 m max. per 30 stations
Station
Station Station

Table of Contents

Related product manuals