EasyManua.ls Logo

Dell PowerConnect M8024 - Booting the Switch

Dell PowerConnect M8024
737 pages
Print Icon
To Next Page IconTo Next Page
To Next Page IconTo Next Page
To Previous Page IconTo Previous Page
To Previous Page IconTo Previous Page
Loading...
Configuring Dell PowerConnect 65
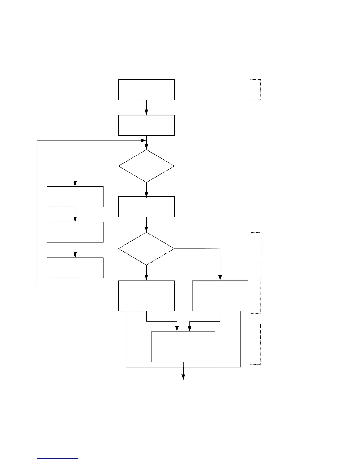
Figure 5-1. Installation and Configuration Flow Chart
Connect Switch and
Console
Power on
Choose option 2
Boot menu
(Special functions)
Loading program from
flash to RAM
Initial Configuration: IP
Address, Subnetmask,
Users Basic Security
configuration
Wizard Configuration
Process
Advanced Configuration:
IP Address from DHCP,
IP Address from bootp,
Security management
Standard
Switch
Installation
Reboot
Advanced
Switch
Installation
Yes
No
S
u
s
p
e
n
d
B
o
o
t
u
p
Enter Wizard
Hardware
Setup
No
Yes

Table of Contents

Other manuals for Dell PowerConnect M8024

Related product manuals