EasyManua.ls Logo

Tormach PCNC 770 - Page 174

Tormach PCNC 770
230 pages
Print Icon
To Next Page IconTo Next Page
To Next Page IconTo Next Page
To Previous Page IconTo Previous Page
To Previous Page IconTo Previous Page
Loading...
Chapter 10
174
UM10350_PCNC770_Manual_0916A
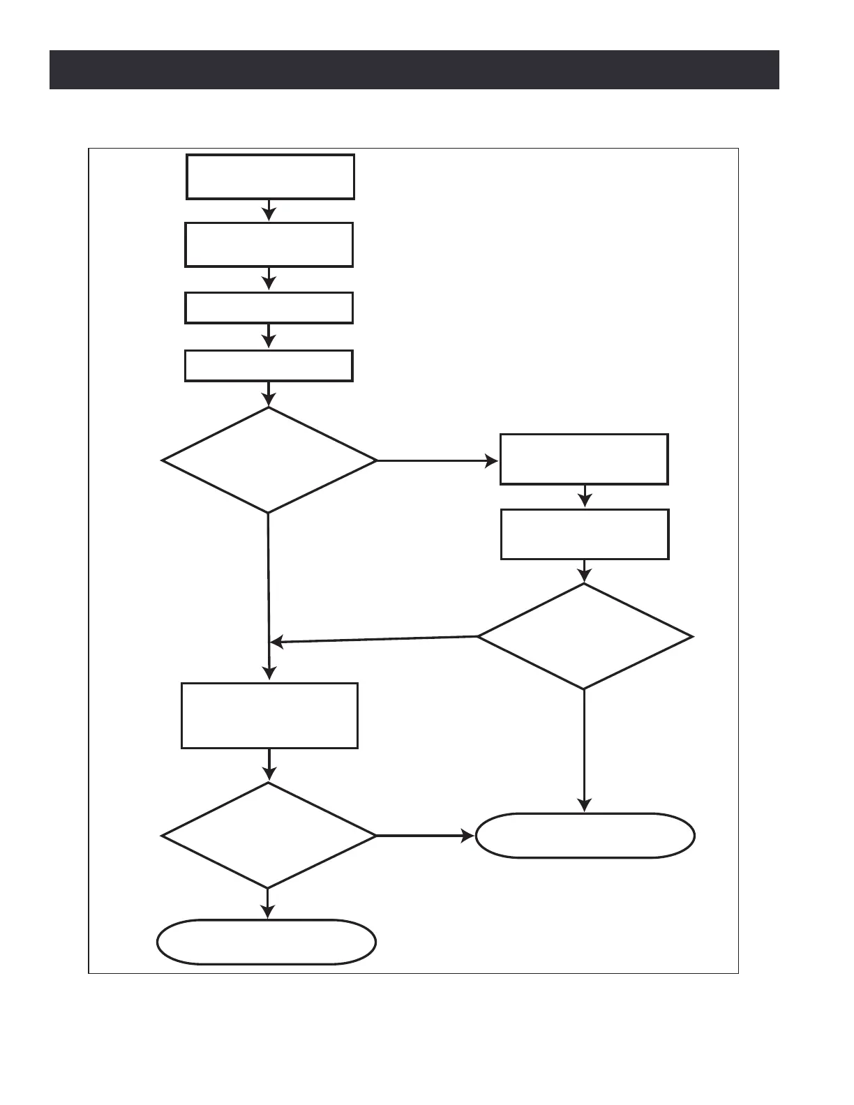
Troubleshooting
Frequently Found Problems
Tips and Tools for
Troubleshoong
Proceed to details secon
in the relevant sub-secon
Find Appropriate Subsystem
Read Subsystem Overview
Call Tormach Technical Support
Would an electrical
schemac prove useful?
Apply your knowledge and
try to resolve problem
Proceed to Problem
Resoluon Checklist in
the relevant sub-secon
Congratulaons, job well done!
Was problem resolved?
Was problem resolved?
Yes
Yes
Yes
No
No
No
Figure 10.1

Table of Contents

Other manuals for Tormach PCNC 770

Related product manuals