EasyManua.ls Logo

Mitel 430 - Positioning; Networking Possibilities

Mitel 430
264 pages
Print Icon
To Next Page IconTo Next Page
To Next Page IconTo Next Page
To Previous Page IconTo Previous Page
To Previous Page IconTo Previous Page
Loading...
System Overview
20
Mitel 415/430 as of R4.1
syd-0580/1.2 – R4.1 – 08.2016
2. 2. 2 Positioning
Applications range from very small offices and branches (Mitel 415) to small and me-
dium-sized companies (Mitel 430).
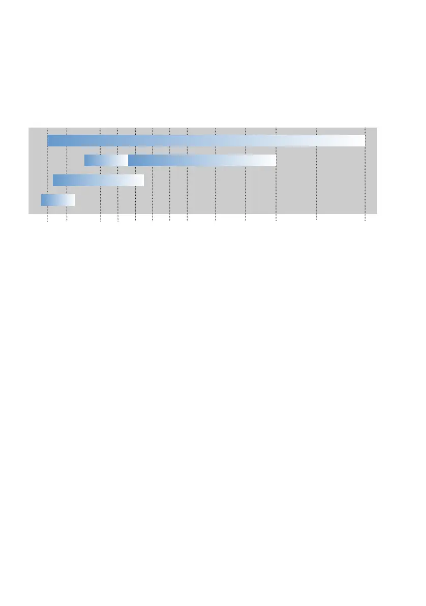
The diagram below shows the MiVoice Office 400 communication servers with their ex-
pansion capacity for IP system phones.
Fig. 3 MiVoice Office 400 communication servers and their expansion capacity
2. 3 Networking Possibilities
MiVoice Office 400 communication servers at different company locations, even be-
yond national borders, can be linked together to form an enterprise-wide private com-
munication network with a common numbering plan. The following networking types
are possible:
Mitel Advanced Intelligent Network (AIN)
In an AINseveral communication servers of the MiVoice Office 400 series can be con-
nected up to form a homogeneous communication system. The single systems are
connected with one another via the IP network, thereby forming the nodes of the over-
all AIN system One node acts as the Master and controls the other (satellite) nodes. All
the features are then available at all the nodes.
No call charges are incurred as the internal voice traffic between locations is routed via
the system’s own data network. All the AIN nodes are configured and set up centrally
via the Master.
If a node is isolated from the rest of the AIN by an interruption in the IP connection, it
restarts with an emergency configuration after a set amount of time. The connections
are then routed to the public network via local links, for example with ISDN or SIP con-
nections, until contact with the AIN is restored.
For the Virtual Appliance communication server, AIN networking (Virtual Appliance as
master) with at least one satellite is mandatory.
Mitel 415
Mitel 430
Mitel 470
5 10 20 30 40 60 80 100 200 300 400 800 1200
Virtual Appliance
Number of users with IP system phones
Mitel 470 with expansion licence

Table of Contents

Other manuals for Mitel 430

Related product manuals