EasyManua.ls Logo

Epson Stylus COLOR 3000 - Page 137

Epson Stylus COLOR 3000
177 pages
Print Icon
To Next Page IconTo Next Page
To Next Page IconTo Next Page
To Previous Page IconTo Previous Page
To Previous Page IconTo Previous Page
Loading...
Troubleshooting
EPSON Stylus Color 3000 Service Manual
5-8
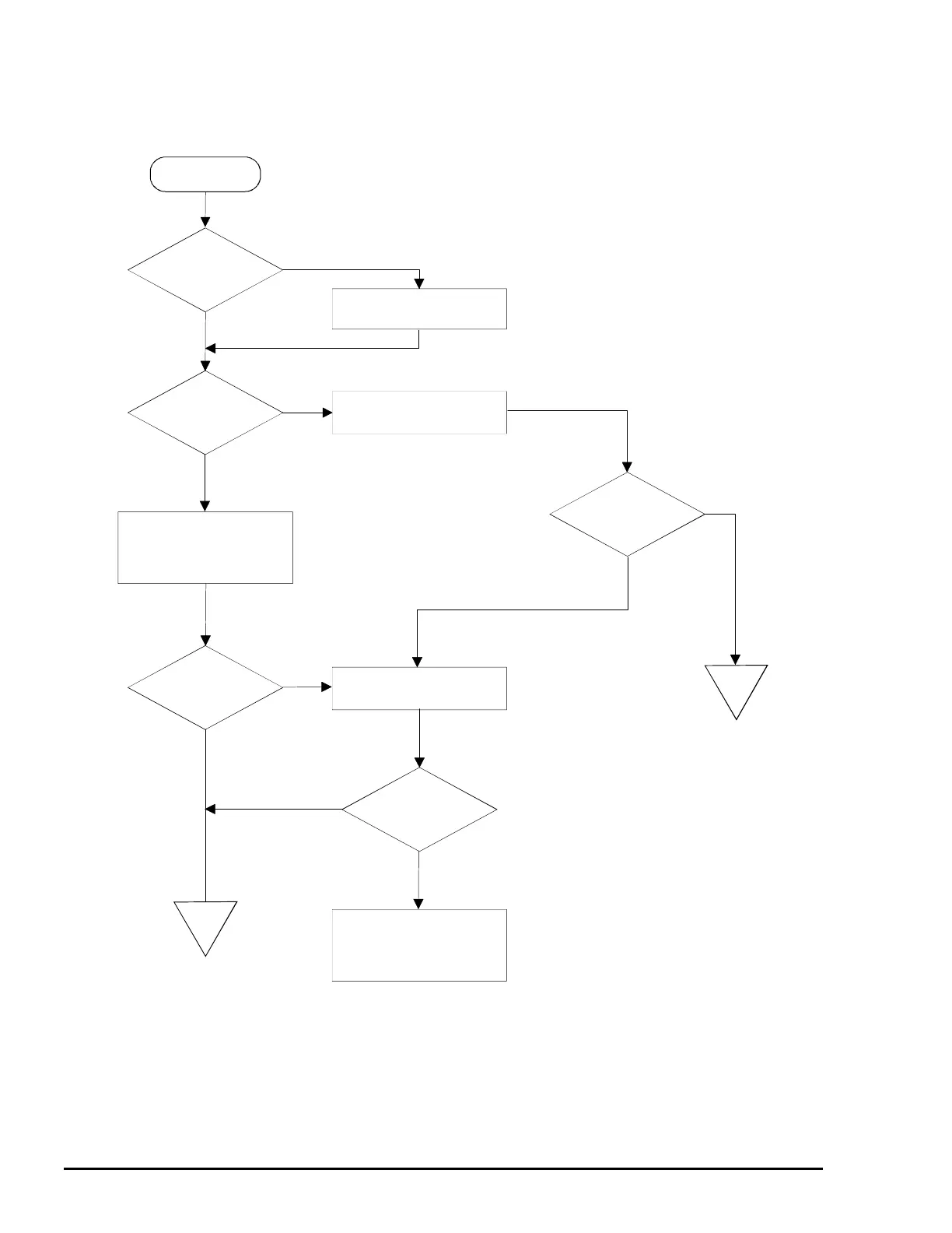
4. Paper is fed abnormally.
START
END
END
NO
YES
YES
Is the problem
corrected?
Set the paper properly.
Is the problem
corrected?
Is the problem
corrected?
Remove any foreign objects
located in the paper path.
Check the PF motor. If
normal, replace the main
control board.
Proceed to Section 5.5,
Printer Mechanism Repair.
Is paper
properly set in
the ASF/tractor?
Clean the PF roller and the
paper path.
YES
NO
YES
NO
NO
NO
YES
Is a
paper jam error
indicated?
Figure 5-5. Flowchart (5)

Table of Contents

Other manuals for Epson Stylus COLOR 3000

Related product manuals