EasyManua.ls Logo

SICK CLV 480 - Optional Heating; Features; Design; Function

SICK CLV 480
212 pages
Print Icon
To Next Page IconTo Next Page
To Next Page IconTo Next Page
To Previous Page IconTo Previous Page
To Previous Page IconTo Previous Page
Loading...
Chapter 10 Operating Instructions
CLV 480 Bar Code Scanner
10-26 © SICK AG · Division Auto Ident · Germany · All rights reserved 8 010 080/O824/10-02-2005
Appendix
10.4 Optional heating
10.4.1 Features
Integrated heater (permanently installed)
Wider range of applications for CLV: up to max. –35 °C (–31 °F)
Supply voltage 24 V DC +20 %/–10 %
CLV enabled via internal temperature switch (power-up delay approx. 35 to 40 min. at
24 V DC and min. ambient temperature of –35
°C (–31 °F)
Required cable cross-section (power supply): min. 0.75 mm
2
(approx. 20 AWG )
10.4.2 Design
The heating system comprises two parts:
the front window heater
the housing heater
The optional heating system is installed and tested at the factory. The user cannot install it
on site.
10.4.3 Function
When the 24 V DC supply voltage is applied, a temperature switch first supplies electric
current to the heater only. This switch enables the supply voltage for the CLV when the in-
ternal temperature rises above +7 °C (+44.6 °F) during the warm-up phase (approx. 35
min). The device then performs a self-test and switches to Reading mode. The "Device Rea
-
dy" LED lights up to indicate that the device is ready.
When the internal temperature has reached approx. +25 °C (+77 °F), a further temperature
switch deactivates the housing heater and reactivates it if necessary. Reading mode is not
interrupted as a result. The front window heater remains active constantly. The temperature
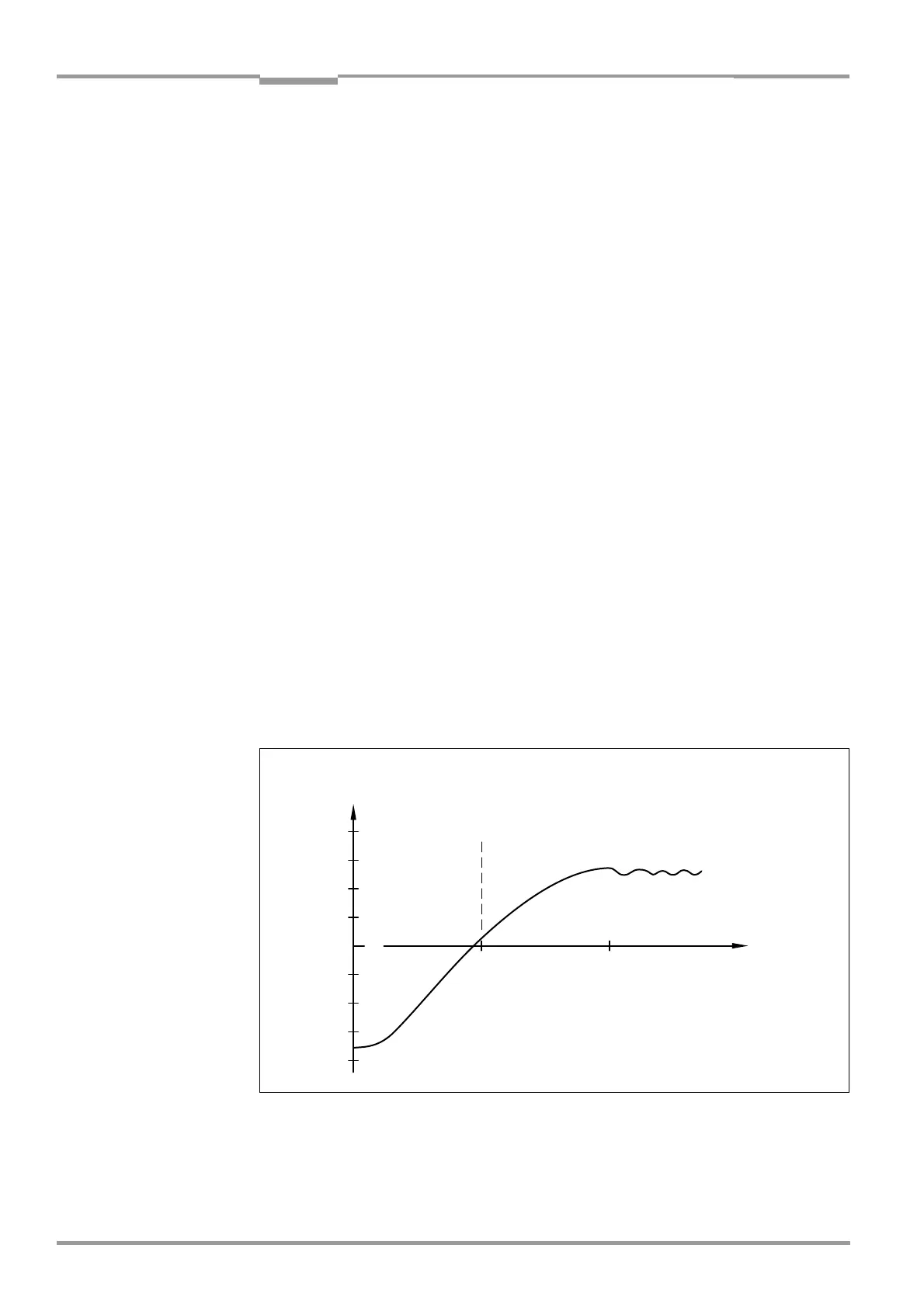
curve inside the housing is shown in
Fig. 10-25.
Fig. 10-25: CLV with heater: temperature curve inside the housing
+40
+30
+20
+10
0
-10
-20
-30
-40
104
86
68
50
32
14
-4
-22
-40
40 80
Temperature
inside housing
The temperature enables the operating
voltage for the CLV internally
Time [min]
[°C]
[°F]

Table of Contents

Related product manuals