EasyManua.ls Logo

Svantek SVAN 977A - Page 249

Svantek SVAN 977A
302 pages
Print Icon
To Next Page IconTo Next Page
To Next Page IconTo Next Page
To Previous Page IconTo Previous Page
To Previous Page IconTo Previous Page
Loading...
249
SVAN 977A User Manual - Appendixes
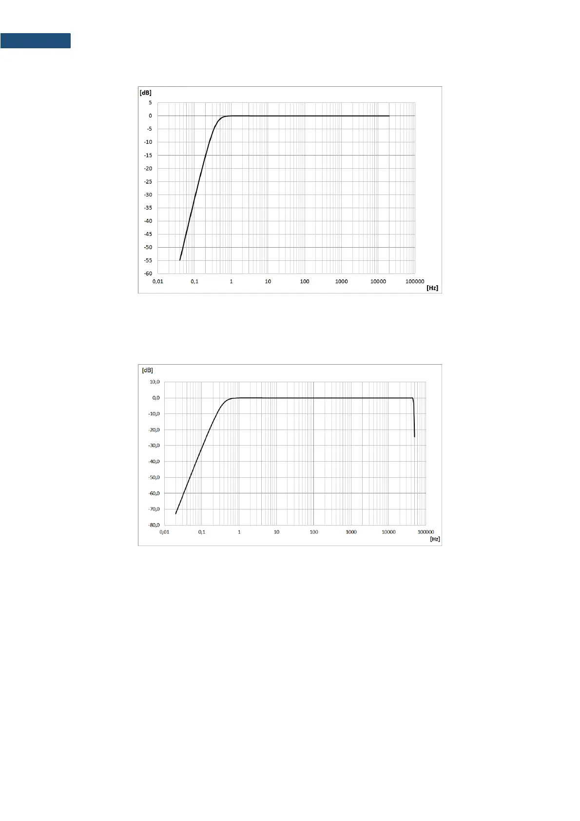
HP filter is a High-Pass filter
HP” filter characteristics
HPE filter is a High-Pass filter for the Ultra frequency band
HPE” filter characteristics

Table of Contents

Related product manuals