EasyManua.ls Logo

Svantek SVAN 977A - Page 296

Svantek SVAN 977A
302 pages
Print Icon
To Next Page IconTo Next Page
To Next Page IconTo Next Page
To Previous Page IconTo Previous Page
To Previous Page IconTo Previous Page
Loading...
296
SVAN 977A User Manual - Appendixes
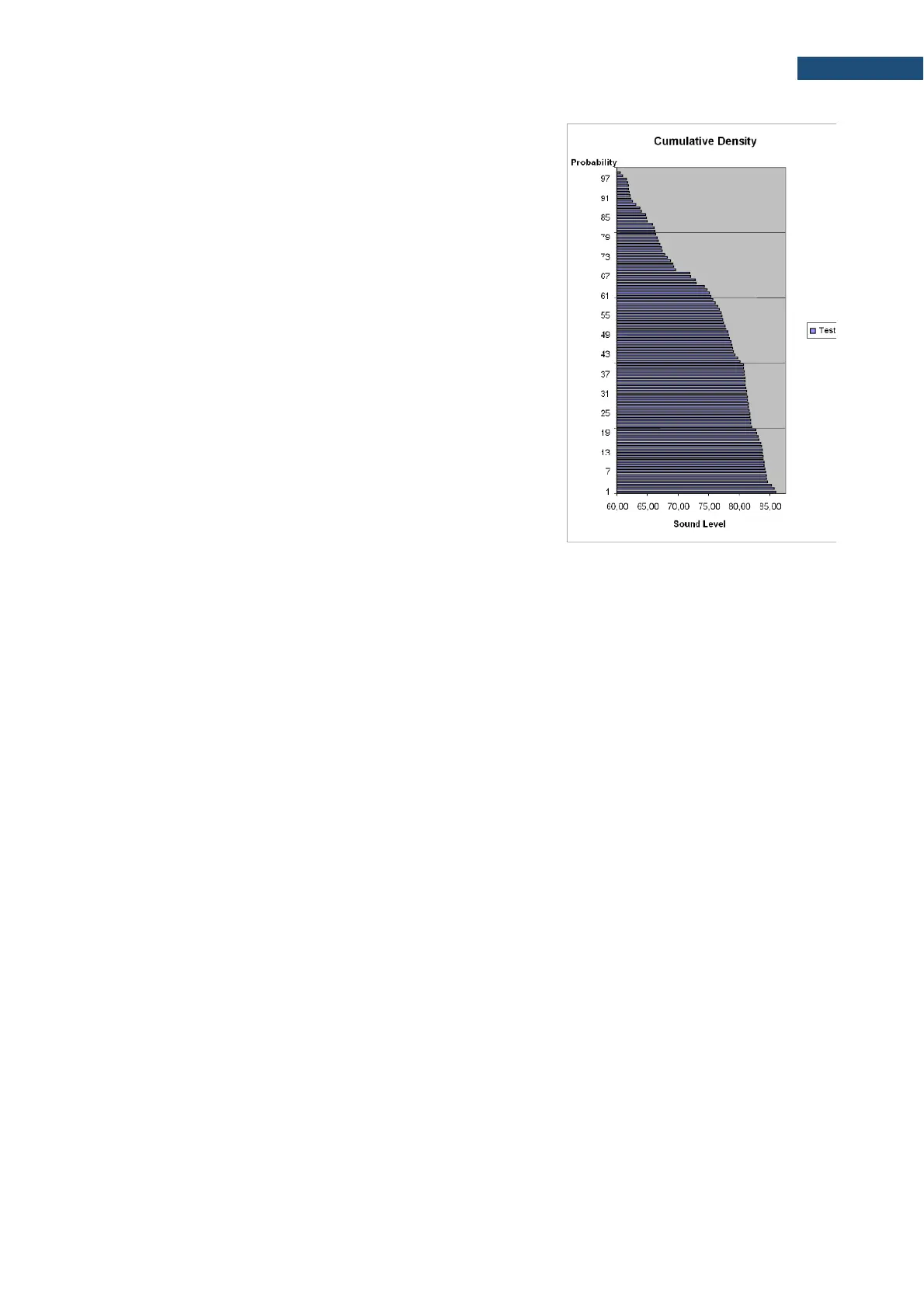
Example:
Let us assume that L35 is equal to 76.8 dB. It means that during
the measurements the noise level 76.8 dB was exceeded in not
more than 35% of the observation period.
The cumulative density function for the exemplary data is
presented in Figure on the right side. In order to determine the
LN% level one has to draw the horizontal cursor and find out the
crossing point between the cumulative density function and the
cursor. In the instrument the user can determine 10 statistical
levels - from L01 to L99 (1% step of observation period).
The display in the instrument presents only first statistical level
N1 (set to: L01 up to L99).
The statistical level LN% value, the profile’s number the statistics
are taken from, the RMS detector (Lin., or Exp.: Fast, Slow or
Imp.), the filter’s name (A, C or Z) and real time are displayed in
the top-right side of the display in one-result view mode.
Exemplary cumulative density

Table of Contents

Related product manuals