EasyManua.ls Logo

Hitachi 902 - Probe Adjustment

Hitachi 902
427 pages
Print Icon
To Next Page IconTo Next Page
To Next Page IconTo Next Page
To Previous Page IconTo Previous Page
To Previous Page IconTo Previous Page
Loading...
14 - 12
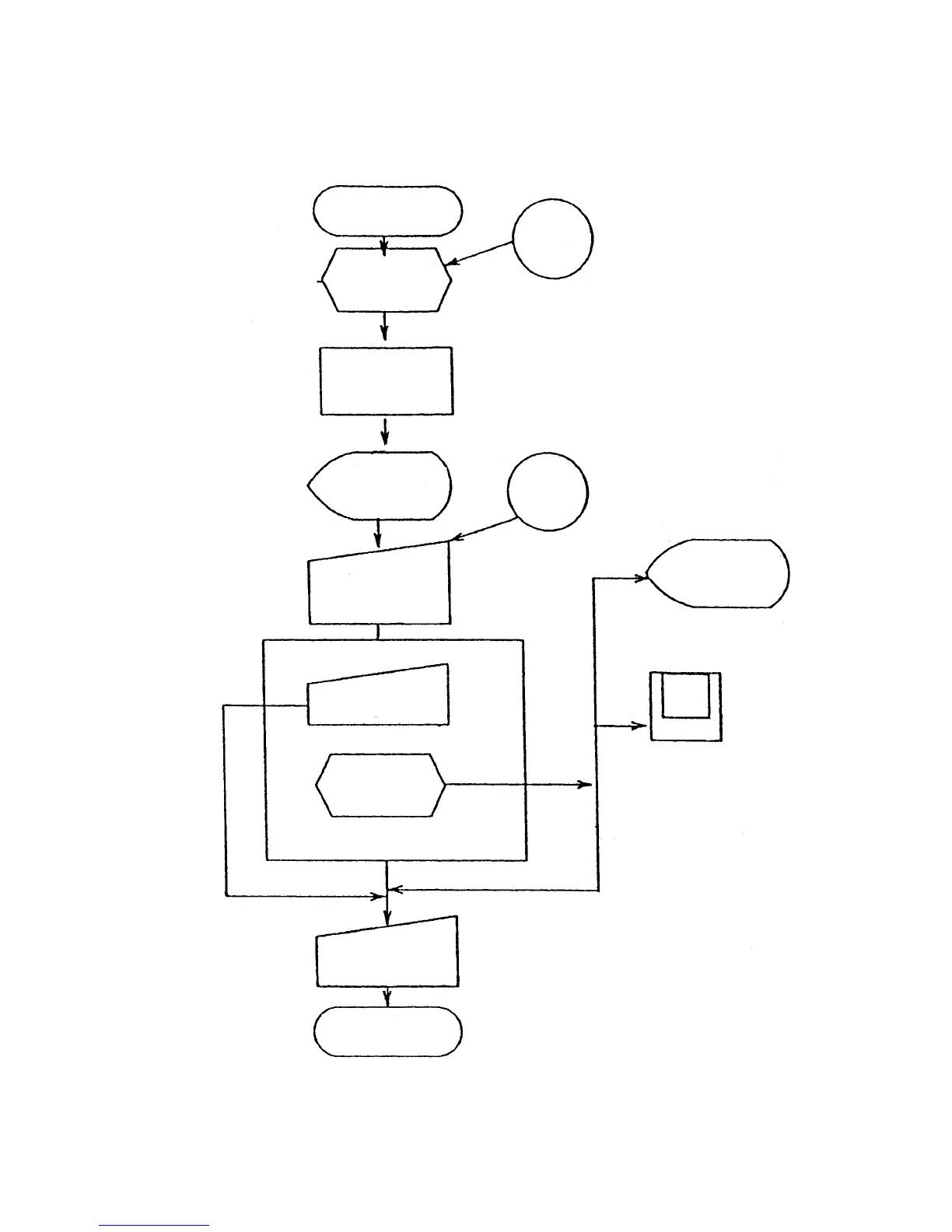
14.2.12 Probe Adjustment
1)
Required
Reference
value change
required?
Data entry for
reference
value change
3)
"STOP" input
Operator
judgement
4)
Operation
check
Maintenance
screen
Required
5)
Alarm display
Operator
judgement
Select from
functions 1 to 4 for
execution and display
2)
(alarm logging)
Circuit board
DIP SW ON
FD
END
START
(EMOT 200 PCB)
SW 6

Table of Contents

Related product manuals