EasyManua.ls Logo

Siemens SINUMERIK 840D Simodrive 611 digital

Siemens SINUMERIK 840D Simodrive  611 digital
298 pages
To Next Page IconTo Next Page
To Next Page IconTo Next Page
To Previous Page IconTo Previous Page
To Previous Page IconTo Previous Page
Loading...
6 Pro
g
rammin
g
the control
6
03/2006
6.9 Axes and spindles
6-109
© Siemens AG 2006 All Rights Reserved
SINUMERIK 840D/810D Start-Up Guide (IADC) – 03/2006 Edition
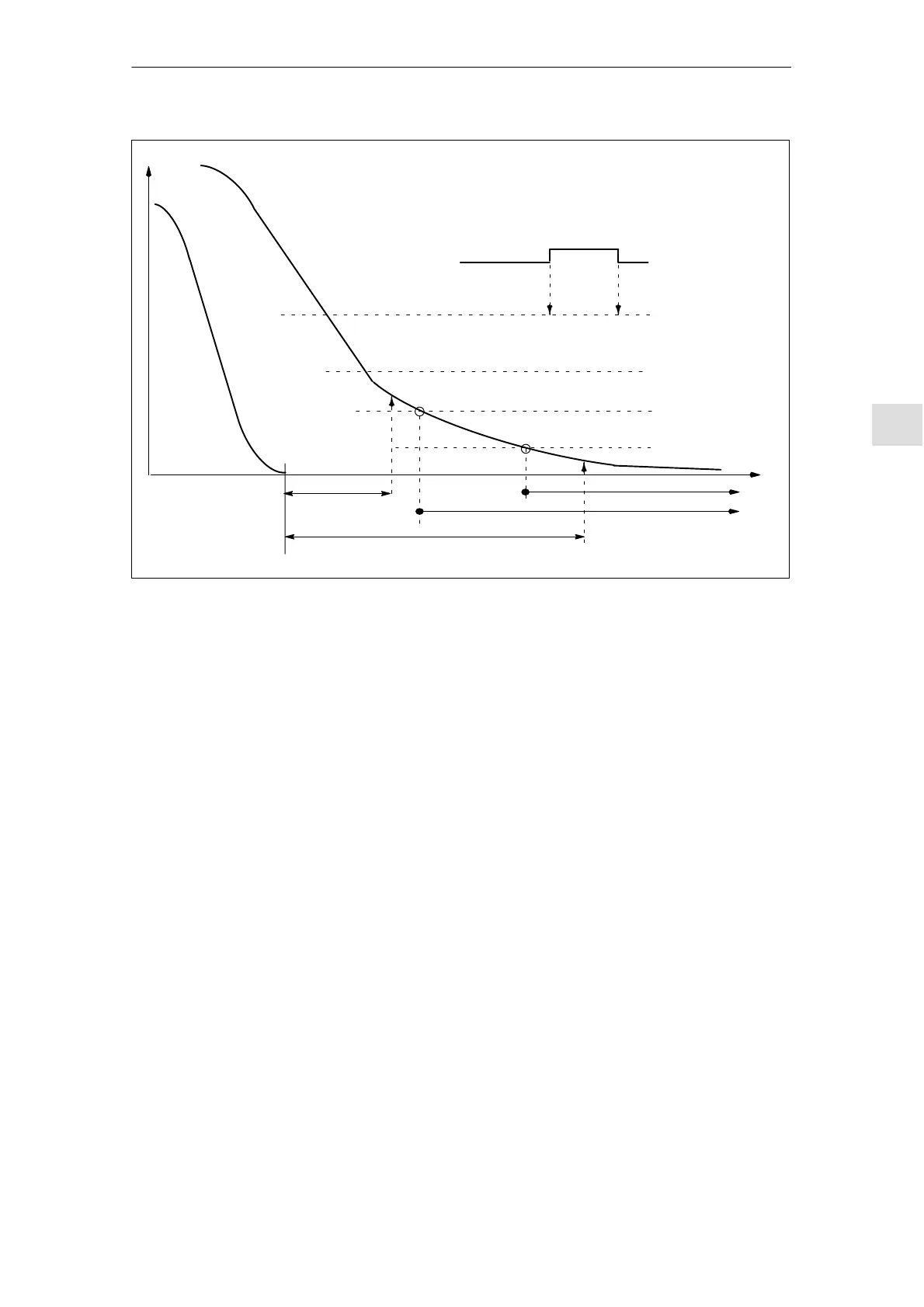
STANDSTILL_
DELAY_TIME
Interface signal
“clamping active”
CLAMP_POS_TOL
STANDSTILL_POS_TOL
STOP_LIMIT_COARSE
STOP_LIMIT_FINE
Exact stop fine signal
Exact stop course signal
POSITIONING_TIME
Actual
Setpoint
V or S
Time t
Fig. 6-18 Positioning, zero-speed and clamping monitoring
For each axis, it is possible to carry out the monitoring via the PLC interface.
A signal exists for every traversing range limit informing the NC that the
corresponding traversing range limit has been approached. When the limit
switch is reached, the axis or the axes used for interpolation are stopped.
Braking can be set via MD 36600: BRAKE_MODE_CHOICE (braking response
with hardware limit switches).
MD 36600: BRAKE_MODE_CHOICE = 1 (fast braking with setpoint “0”)
MD 36600: BRAKE_MODE_CHOICE = 0 (braking characteristic is maintained)
NST “Hardware limit switch minus” (DB31, ... DBX12.0)
NST “Hardware limit switch plus” (DB31, ... DBX12.1)
Alarm “21614 channel [name1] axis [name2] hardware limit switch [+/–]”. The
axis must be retracted in JOG operating mode.
Two software limit switch values may be entered in the machine data for each
axis. The active software limit switch is selected via the PLC. The axis does not
traverse beyond the software limit switch. The monitoring function is activated
after reference point approach and is deactivated after PRESET.
MD 36100: POS_LIMIT_MINUS (1st software limit switch minus)
MD 36110: POS_LIMIT_PLUS (1st software limit switch plus)
MD 36120: POS_LIMIT_MINUS2 (2nd software limit switch minus)
MD 36130: POS_LIMIT_PLUS2 (2nd software limit switch plus)
NST “2nd software limit switch minus” (DB31, ... DBX12.2)
NST “2nd software limit switch plus” (DB31, ... DBX12.3)
Monitoring of posi-
tions via Hardware
limit switch
Machine data,
interface signals and
alarms
Monitoring of posi-
tions via software
limit switches
Machine data,
interface signals and
alarms

Table of Contents

Related product manuals