EasyManua.ls Logo

SYNAPTICON SOMANET Circulo 7 - Rotate a Motor at Defined Velocities; Rotate a Motor to Defined Positions

Default Icon
1031 pages
Print Icon
To Next Page IconTo Next Page
To Next Page IconTo Next Page
To Previous Page IconTo Previous Page
To Previous Page IconTo Previous Page
Loading...
2.5.3 Rotate a motor at defined velocities
One of the next steps can be testing the velocity control mode. The Playground allows to set and alternate
the velocity setpoint. Before, the Velocity controller has to be tuned. Select the velocity increment size, enable
the velocity controller and try out different velocity setpoints. Position, torque and other signals can be
observed if needed.
You may also configure additional features such as:
Velocity feedback signal filtering
Cogging torque compensation
Velocity offset for Feed-forward control
Field weakening
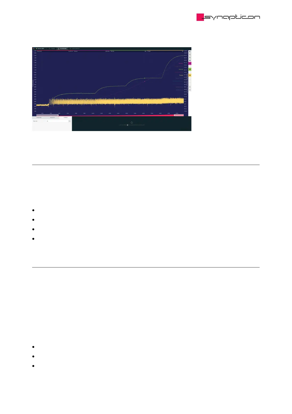
2.5.4 Rotate a motor to defined positions
Common tasks in robotics involve moving a manipulator, vehicle or gripper to a predefined position. In order
to do so, your SOMANET servo drive comes with an internal position controller that can be configured and
adapted to your surrounding mechanical system automatically.
Enter a target position in the units of encoder increments (‘ticks’) and see how the motor moves there.
Depending on your encoder resolution, quite large numbers are necessary to create visible motions. For
example, with a 16-bit encoder 65,536 ticks represent one motor shaft revolution. If you even have a reducer
(gearbox) attached to your motor shaft, you may have to change the position setpoint by several 100,000 ticks
to create visible motion. However, we recommend to start with small steps and then slowly increase them.
Finally, you can check the performance of your position control loop by using one of the position setpoint test
functions available in OBLAC Drives. Depending on what suits your application best, you can choose from:
step
sinusoidal
trapezoidal
Synapticon Documentation
© 2021 Synapticon GmbH | Daimlerstraße 26 | D-71101 Schönaich Documentation v 4.19.0 | Built 2022-02-01 505/1031

Table of Contents

Related product manuals