EasyManua.ls Logo

AMP EFI MS3Pro - Tuning Spark; Getting a Good Idle

AMP EFI MS3Pro
305 pages
Print Icon
To Next Page IconTo Next Page
To Next Page IconTo Next Page
To Previous Page IconTo Previous Page
To Previous Page IconTo Previous Page
Loading...
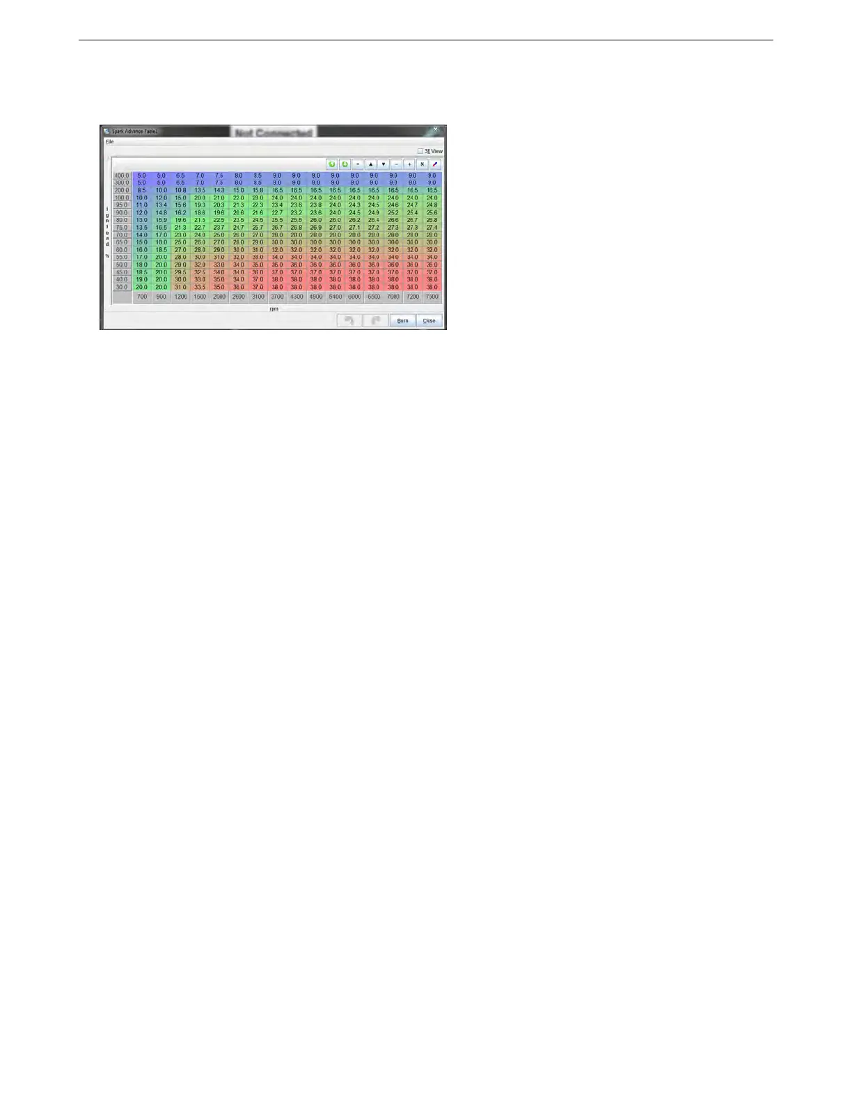
6.4 Tuning spark 6 TUNING THE MS3PRO
6.4 Tuning spark
Ignition is tuned on a 3D table like the AFR and VE tables.
This table specifies the spark advance in absolute numbers in degrees BTDC (before top dead center) as a
function of RPM and load. The timing you see with a timing light should match the timing table, unless there are
spark trim tables in effect that make changes to it. We ordinarily recommend tuning the spark map on a dyno, but
here are a few general pointers for an initial setup.
The idea is that the idle and low speed areas are set to around 8-20deg. Usually idle will be around 8-15°, but
this depends on your engine’s design. If you set the first row in the RPM range as a little under your usual idle (e.g.
600 if your engine idles at 800ish) and add some advance here this can help stabilize the idle, so if the engine
stumbles into this area the slight increase in advance will help it to speed up a little so it doesn’t stall. The cruising
area of the map should have a reasonably high advance, (low to high 30’s) as the mixture will be reasonably lean
and therefore will give a slower burn. The overrun area can have an even greater advance, this will allow you
to run lean in that section. At Wide Open Throttle (WOT) the spark map needs to be RPM based (analogous to
centrifugal advance on an old style distributor) coming in at the right rate relative to engine RPM. Typically, you
want it "all in" by about 2800-3200 RPM for a street performance motor, although many engines will benefit from
even more advance after the torque starts decreasing, something you can’t do with a mechanical advance.
Note the the optimum amount of total advance is not necessarily the most that doesn’t cause detonation. For
example, with a modern cylinder head design, you might get maximum power at 32°BTDC on a large V8, but might
not experience any detonation until 38°- 40°. However, you will still want the advance to come in as quickly as
possible (without knocking) up to 32°. This number won’t be 32 degrees for all engines; for example, we’ve found
that the new Chrysler Hemi can have problems at more than 22 degrees of timing at full throttle, and many small
bore engines with pent-roof combustion chambers run numbers in the mid 20 degree range.
When going into boost the advance table, values will need to be lower than when out of boost. A common rule
of thumb is that 1 degree of advance should be removed for every 2 psi of boost; this is simply a rough guide,
and lots of things can depend on how much to remove. Advance below 100% load is often simply the flip side of
retarding the timing under boost; as cylinder filling decreases, you will need more timing.
6.5 Getting a good idle
Idle tuning has several components. One is how far the throttle is open - this can be adjusted with the Idle PWM
Duty Table or Idle Steps if you have an IAC valve, which lets you specify the valve opening amount in terms of
temperature. If you don’t have an IAC valve, you can use a set screw to adjust the throttle blade angle. There is
also closed loop idle tuning, which we will cover later in the manual. Closed loop idle tuning targets a specific idle
speed. But first, you need to get a stable idle without closed loop tuning. If your idle is already hunting because of
a bad tune, putting closed loop on an idle that already has trouble will make it worse. We’ll take some time here
to explain how to tune your MS3Pro for a smooth idle.The first key may surprise many novice tuners: The idle
control settings are not the most important thing to adjust to get a smooth idle.
This may seem counter-intuitive, but consider this: If the engine is idling at constant load with the throttle held at
a constant opening, shouldn’t you have a constant idle speed? If your idle surges or hunts under these conditions,
and your idle control valve is staying at one opening value, the idle control settings are not the problem. To get a
steady idle, you need three things in place: correct fuel, correct timing, and correct airflow. These problems should
be addressed individually.
AMP EFI MS3Pro manual version 1.202, firmware 1.5.0, 4/21/2017 Page 121

Table of Contents