EasyManua.ls Logo

Microsemi IGLOO2 - Programming Power Supply (VPP or VCCENVM); Component Placement; Plane Layout; Simulations

Microsemi IGLOO2
102 pages
Print Icon
To Next Page IconTo Next Page
To Next Page IconTo Next Page
To Previous Page IconTo Previous Page
To Previous Page IconTo Previous Page
Loading...
Layout Guidelines for SmartFusion2- and IGLOO2-Based Board Design
AC393 Application Note Revision 14.0 54
3.7 Programming Power Supply (VPP or VCCENVM)
VPP is used as an input for the internal charge pump that generates the required voltage to program
flash. VCCENVM is an embedded non-volatile memory (eNVM) supply.
3.7.1 Component Placement
The bypass capacitors (47 µF and 22 µF) should be placed near, or at the edge of the device if
possible.
All decoupling capacitors (0.1 µF and 0.01 µF) should be 0402 or of a smaller package size as they
are required to be mounted on the reverse side of the board. They should be fit between the
adjacent vias of BGA package pins. These decoupling capacitors are carefully selected to have low
impedance over the operating frequency and temperature range.
The capacitor pad to via trace should be as small as possible. Figure 24, page 39 shows how these
capacitors are mounted. The capacitor can also be mounted directly on the pad available on the
vias.
3.7.2 Plane Layout
The shape of the plane does not have a specific requirement. The width of the plane should be sufficient
enough to carry the required current.
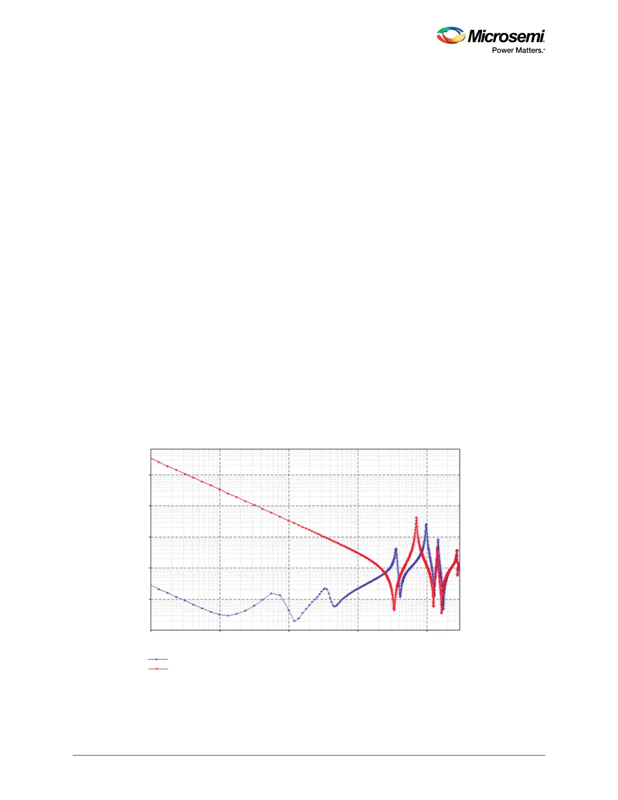
3.7.3 Simulations
The target impedance of the VPP is calculated as 3.3 , based on the values (see Power Supply,
page 38):
•V
SUPPLY
= 3.3 V
•I
trans
= 50 mA
Ripple = 5%
The simulation result (as shown in the following figure) shows that it meets the required impedance
levels.
Figure 46 • Impedance Profile of VPP Plane Over Frequency Range
Z Amplitude (Ω)
Frequency (GHz)
Impedance of VPP Plane with Decoupling Capacitors
Impedance of VPP Plane without Decoupling Capacitors
1e3
100
10
1
0.1
1e-4 2e-4 1e-3 2e-3 0.01 0.02 0.1 0.2 0.3 1 2 3

Table of Contents

Other manuals for Microsemi IGLOO2