EasyManua.ls Logo

Philips Efficia DFM100 - Troubleshooting Flowcharts

Philips Efficia DFM100
220 pages
Print Icon
To Next Page IconTo Next Page
To Next Page IconTo Next Page
To Previous Page IconTo Previous Page
To Previous Page IconTo Previous Page
Loading...
3: Troubleshooting Troubleshooting Flowcharts
48
Troubleshooting Flowcharts
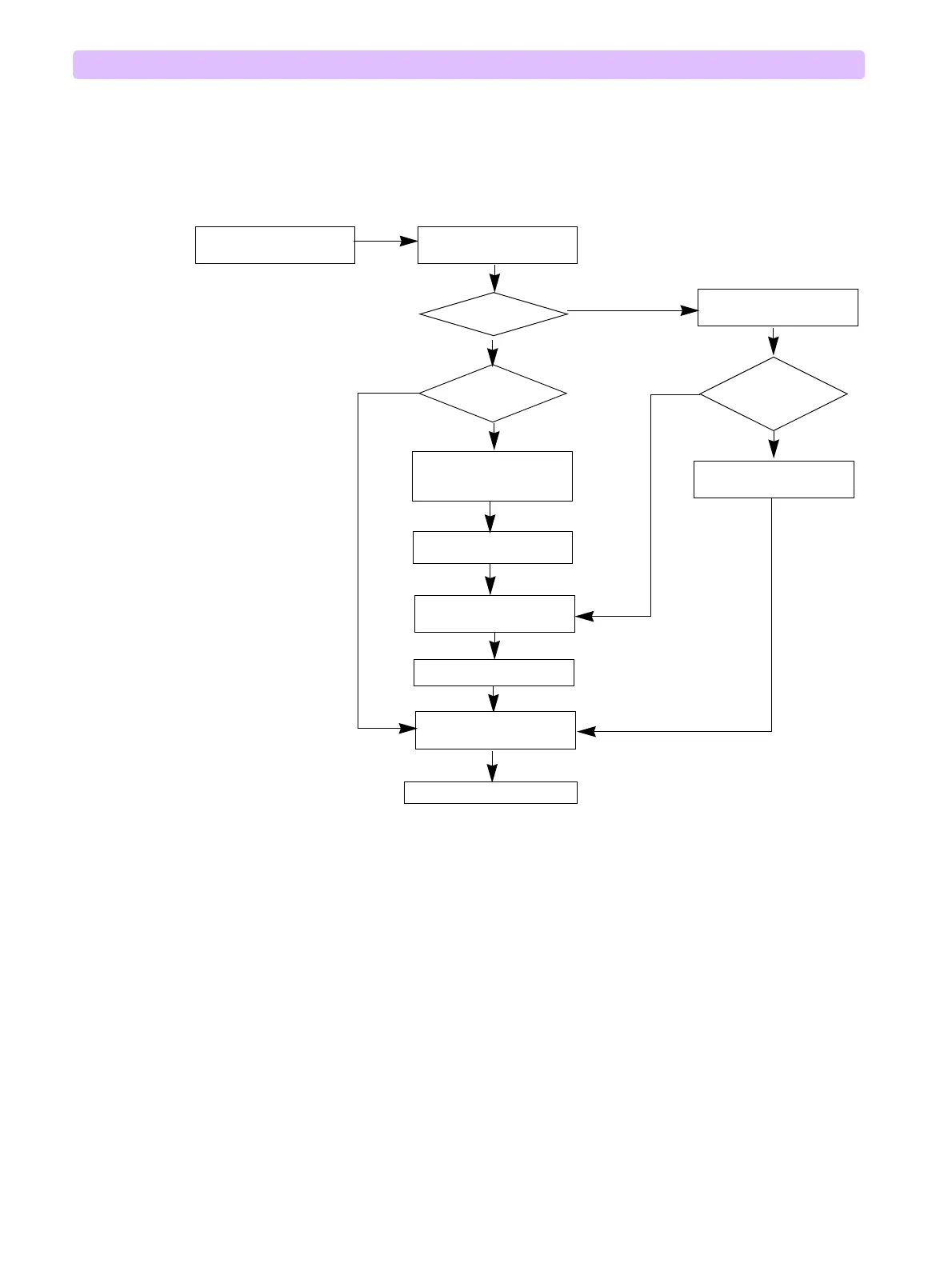
Figure 39 and Figure 40 show the troubleshooting steps for different states of the RFU Indicator.
Figure 39 RFU Indicator: Hourglass
Hourglass
Turn Therapy Knob to
Monitor
Technical Alarm
displayed?
Take appropriate action.
Run Operational Check, if
necessary.
Check Hardware
Error Log
Repair
Run Performance
Verification tests
Place device back in service
Troubleshoot device using
tables if necessary
No
Yes
Turn Therapy Knob to
AED
Replace Display
Assembly
Yes
No
Voice prompt
heard?
Yes
Is screen blank?
No

Table of Contents

Other manuals for Philips Efficia DFM100

Related product manuals